Free Access
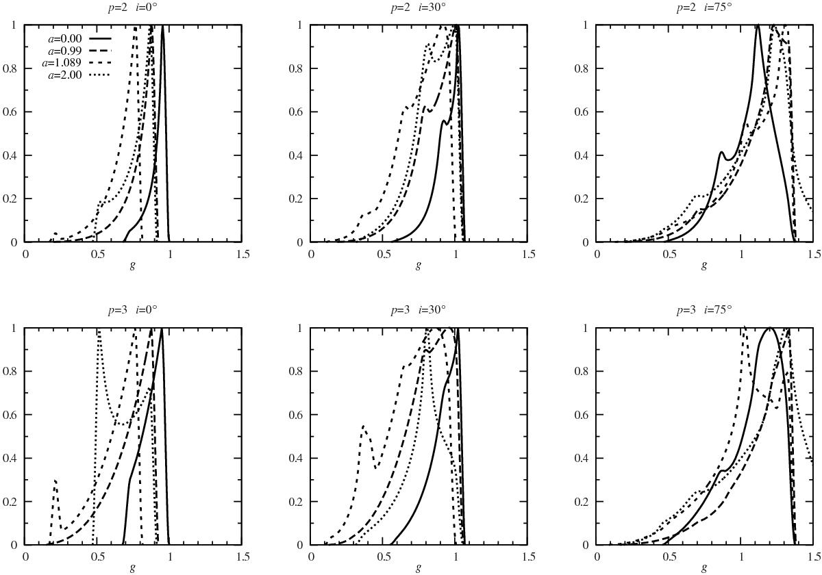
Fig. 6

Emission line profiles of non-magnetised accretion discs formed around black holes and naked singularities for four different values of the spin parameter, a (see the legend), for inclinations, from left to right, i = 0°, 30°, 75°. Top (bottom) panels correspond to an emissivity index p = 2 (p = 3).
Current usage metrics show cumulative count of Article Views (full-text article views including HTML views, PDF and ePub downloads, according to the available data) and Abstracts Views on Vision4Press platform.
Data correspond to usage on the plateform after 2015. The current usage metrics is available 48-96 hours after online publication and is updated daily on week days.
Initial download of the metrics may take a while.