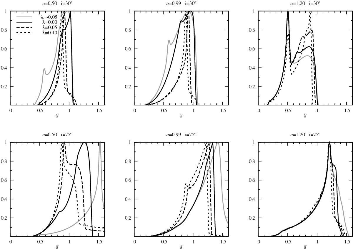
Fig. 7

Emission line profiles of accretion discs formed around black holes (a = 0.50, 0.99) and naked singularities (a = 1.2) for two inclinations: i = 30° (top panels) and i = 75° (bottom panels). The solid lines represent the non-magnetised case. Long-dashed (short-dashed) lines represent uniform magnetic field configurations with λU = 0.05 (λU = 0.1). The grey solid line corresponds to λU = −0.05. The emissivity index is fixed to p = 3.
Current usage metrics show cumulative count of Article Views (full-text article views including HTML views, PDF and ePub downloads, according to the available data) and Abstracts Views on Vision4Press platform.
Data correspond to usage on the plateform after 2015. The current usage metrics is available 48-96 hours after online publication and is updated daily on week days.
Initial download of the metrics may take a while.