Free Access

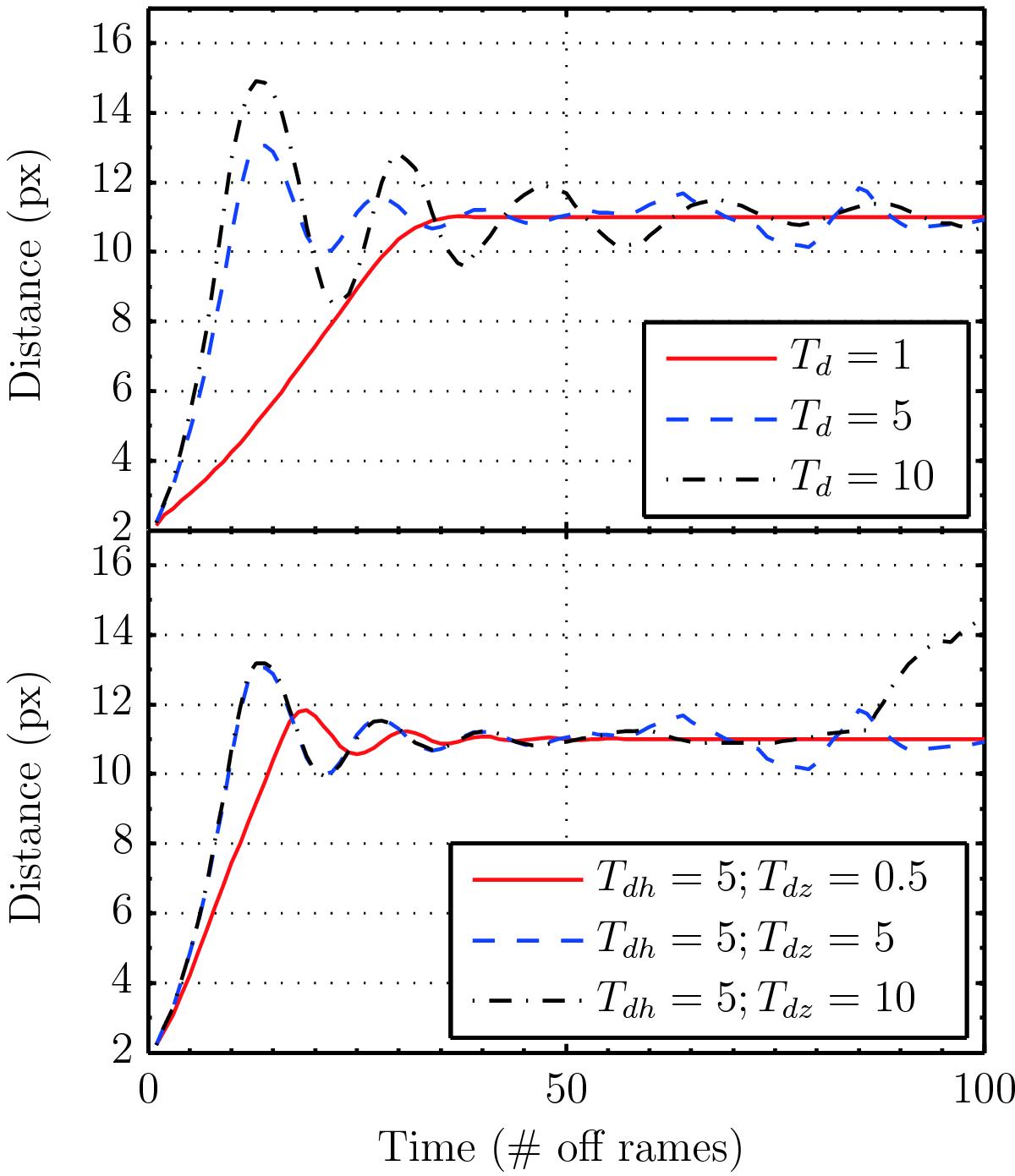
Fig. 8

image

Coordinate on the x-axis of the ball’s centre during the tracking of Fig. 7. The top and bottom panels correspond to the motions of the ball in the left and right column of Fig. 7.

Current usage metrics show cumulative count of Article Views (full-text article views including HTML views, PDF and ePub downloads, according to the available data) and Abstracts Views on Vision4Press platform.

Data correspond to usage on the plateform after 2015. The current usage metrics is available 48-96 hours after online publication and is updated daily on week days.

Initial download of the metrics may take a while.