Free Access
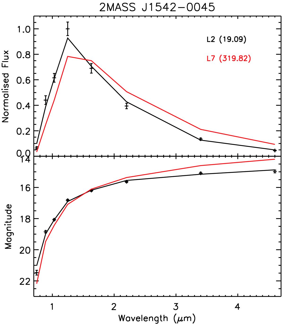
Fig. 9

SED of the source 2MASS J1542-0045 compared to the photo-type classification of L2 (black line), and the spectroscopic classification of L7 (red line). The upper plot uses flux (fλ), normalised to J, and the lower plot uses magnitudes.
Current usage metrics show cumulative count of Article Views (full-text article views including HTML views, PDF and ePub downloads, according to the available data) and Abstracts Views on Vision4Press platform.
Data correspond to usage on the plateform after 2015. The current usage metrics is available 48-96 hours after online publication and is updated daily on week days.
Initial download of the metrics may take a while.