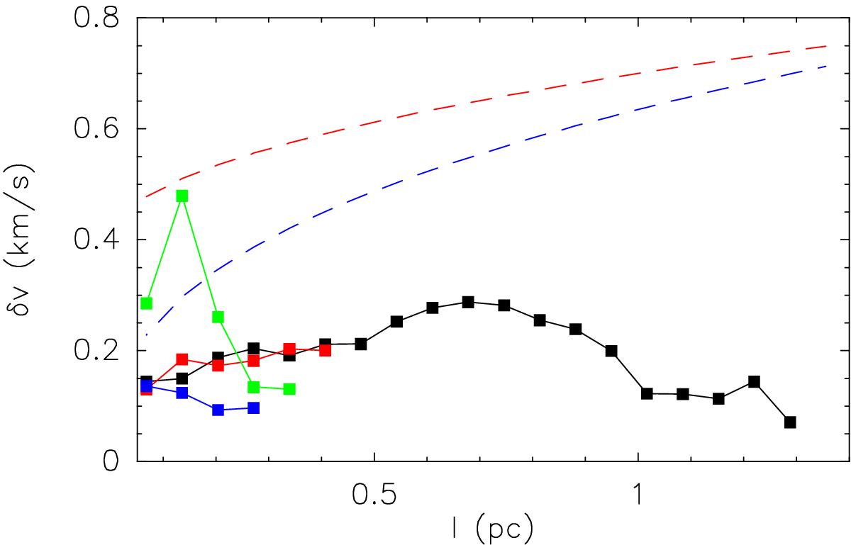
Fig. 10

Structure function of the dense-gas velocity field. The color–coded solid squares show the structure function as a function of lag in B213 (black), B10 (red), B218 (green), and B7/L1495 (blue). The blue dashed line represents the classical relation from Larson (1981), and the red dashed line represents the recently-determined core-velocity difference of Qian et al. (2012).
Current usage metrics show cumulative count of Article Views (full-text article views including HTML views, PDF and ePub downloads, according to the available data) and Abstracts Views on Vision4Press platform.
Data correspond to usage on the plateform after 2015. The current usage metrics is available 48-96 hours after online publication and is updated daily on week days.
Initial download of the metrics may take a while.