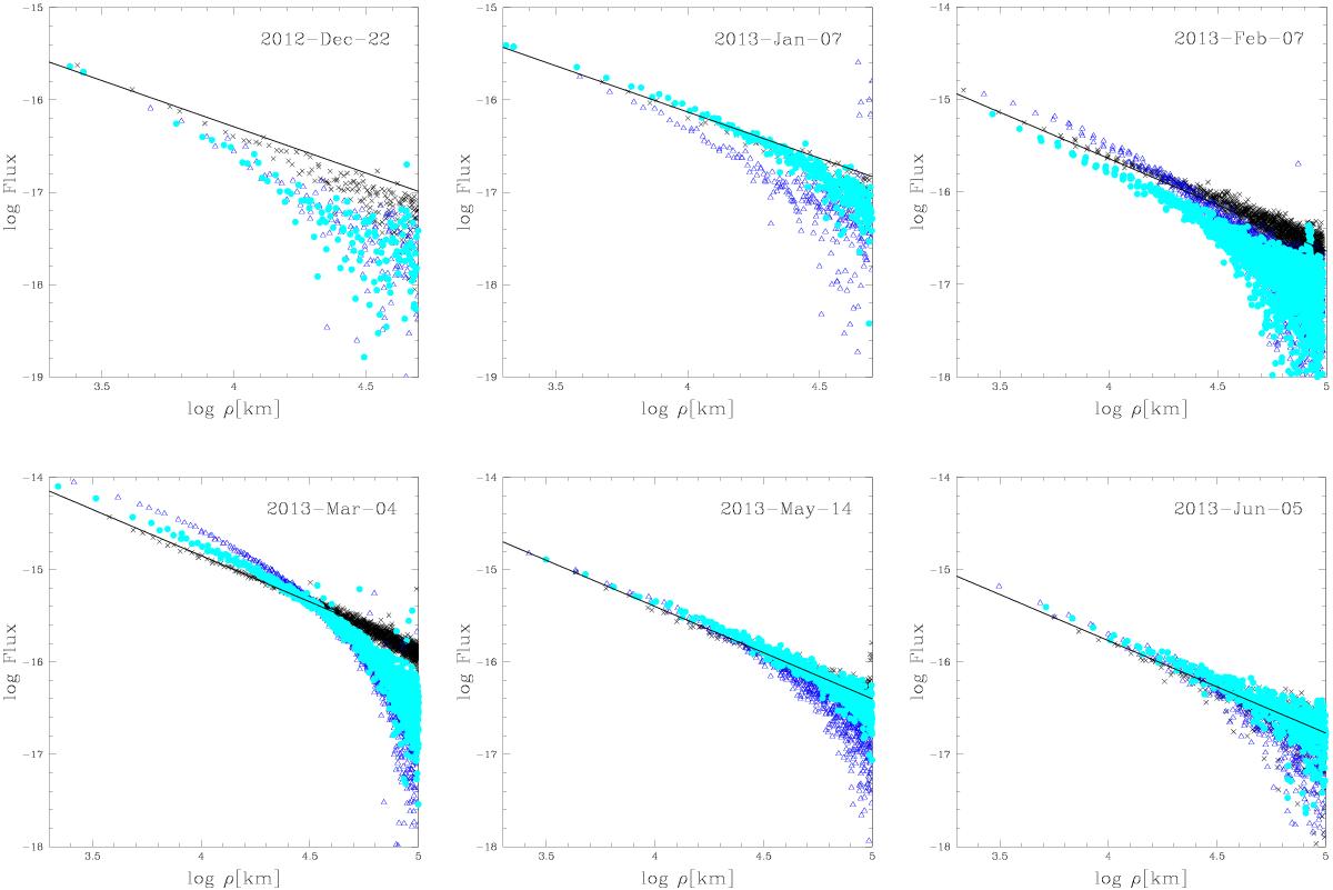
Fig. 5

Dust brightness radial profiles of comet C/2012 F6 (Lemmon) at 6 epochs are represented: 2012-Dec.-22 (104 km = 22.5′′), 2013-Jan-07 (104 km = 17.5′′), 2013-Feb-07 (104 km = 13.2′′), 2013-Mar-04 (104 km = 16.1′′), 2013-May-14 (104 km = 22.9′′), 2013-Jun-05 (104 km = 23.3′′). The profile extraction was made for 20° wide wedges in the tail direction, i.e., the anti-sunward direction (black crosses), the sunward direction (dark blue triangles), and the ambient coma perpendicular to the sunward direction. A 1 /ρ profile is overlaid on each plot.
Current usage metrics show cumulative count of Article Views (full-text article views including HTML views, PDF and ePub downloads, according to the available data) and Abstracts Views on Vision4Press platform.
Data correspond to usage on the plateform after 2015. The current usage metrics is available 48-96 hours after online publication and is updated daily on week days.
Initial download of the metrics may take a while.