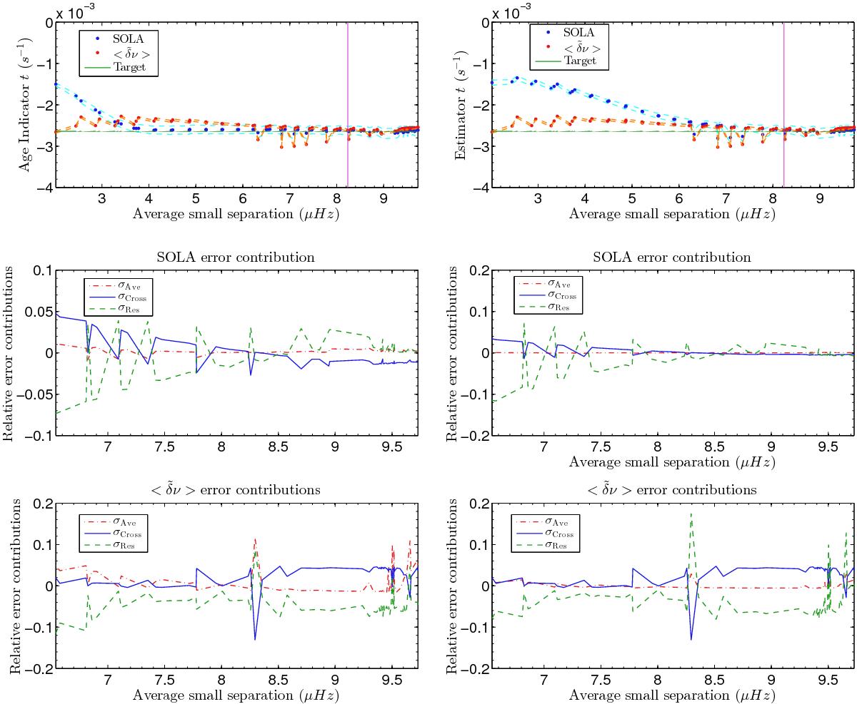
Fig. 3

Inversion results for the age indicator and estimates based on the small frequency separation, using the grid of models. The left column shows the results in which the averaging kernels are optimised, whereas in the right column, the anti-derivative of the averaging kernels are optimised. The top two panels show the inversion results where the vertical line (magenta) indicates the value of the small frequency separation of the target, the middle two panels show the errors from Eq. (10) in the SOLA inversions, and the bottom two panels are the errors from Eq. (10) from the improved small frequency separation technique. The results and error contributions are given for every model of the grid such that the abscissa of these figures is the average large separation of each reference model.
Current usage metrics show cumulative count of Article Views (full-text article views including HTML views, PDF and ePub downloads, according to the available data) and Abstracts Views on Vision4Press platform.
Data correspond to usage on the plateform after 2015. The current usage metrics is available 48-96 hours after online publication and is updated daily on week days.
Initial download of the metrics may take a while.