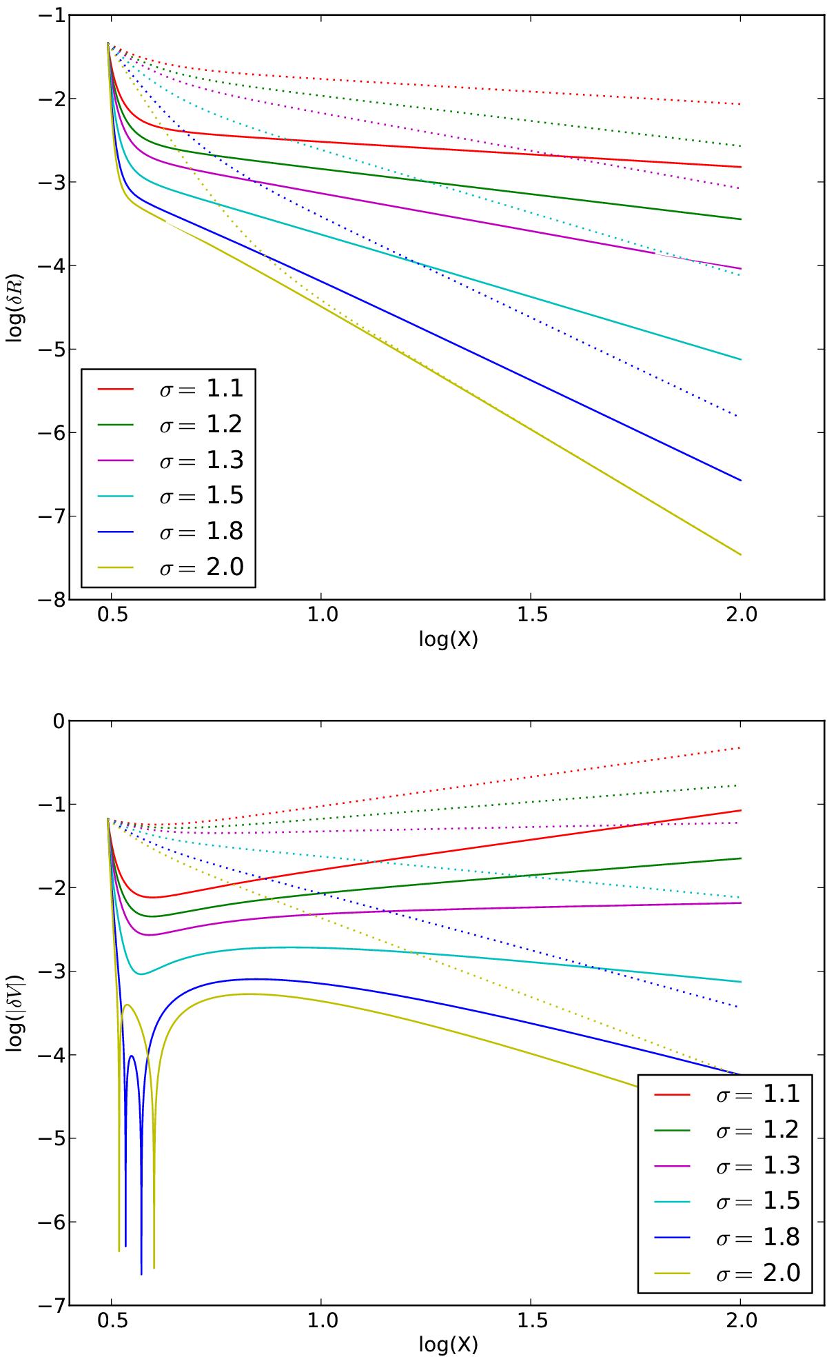
Fig. 1

Density (top panel) and velocity (bottom panel) fields of the solutions for various values of σ. For values of X smaller than the position of the shock (X<Xsh ≃ 3), the density and the velocity are unperturbed, i.e. δR = δV = 0. The solid lines show the solutions for the system of Eqs. (5)–(7) For comparison, solutions to the same equations but without the thermal pressure term are shown with the dotted lines.
Current usage metrics show cumulative count of Article Views (full-text article views including HTML views, PDF and ePub downloads, according to the available data) and Abstracts Views on Vision4Press platform.
Data correspond to usage on the plateform after 2015. The current usage metrics is available 48-96 hours after online publication and is updated daily on week days.
Initial download of the metrics may take a while.