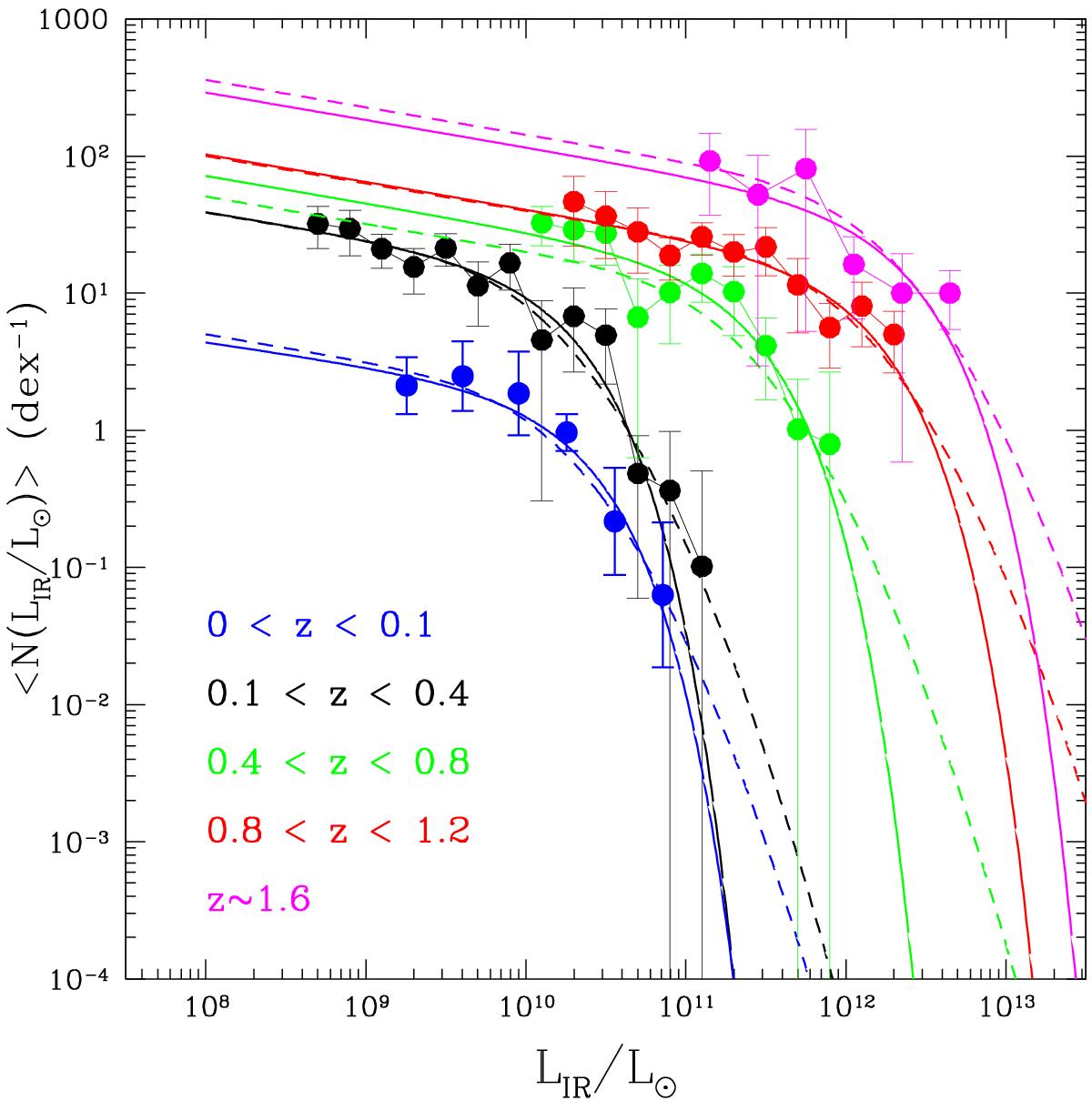
Fig. 4

IR LFs in galaxy groups estimated within 2 × r200 in different redshift bins: 0 <z< 0.4 (black points), 0.4 <z< 0.8 (green points), 0.8 <z< 1.2 (red points), and at z ~ 1.6 (magenta points; this is the IR LF of the structure of Kurk et al. 2008). Error bars are 1σ. The IR LF in groups in the lowest redshift bin at z< 0.1 (blue points) is obtained by averaging the IR LF in groups obtained in three different group halo mass bins by Guo et al. (2014). The solid (resp. dashed) lines, colour–coded as the points of the IR LF, indicate the best fit Schechter (resp. modified Schechter, see Saunders et al. 1990) functions.
Current usage metrics show cumulative count of Article Views (full-text article views including HTML views, PDF and ePub downloads, according to the available data) and Abstracts Views on Vision4Press platform.
Data correspond to usage on the plateform after 2015. The current usage metrics is available 48-96 hours after online publication and is updated daily on week days.
Initial download of the metrics may take a while.