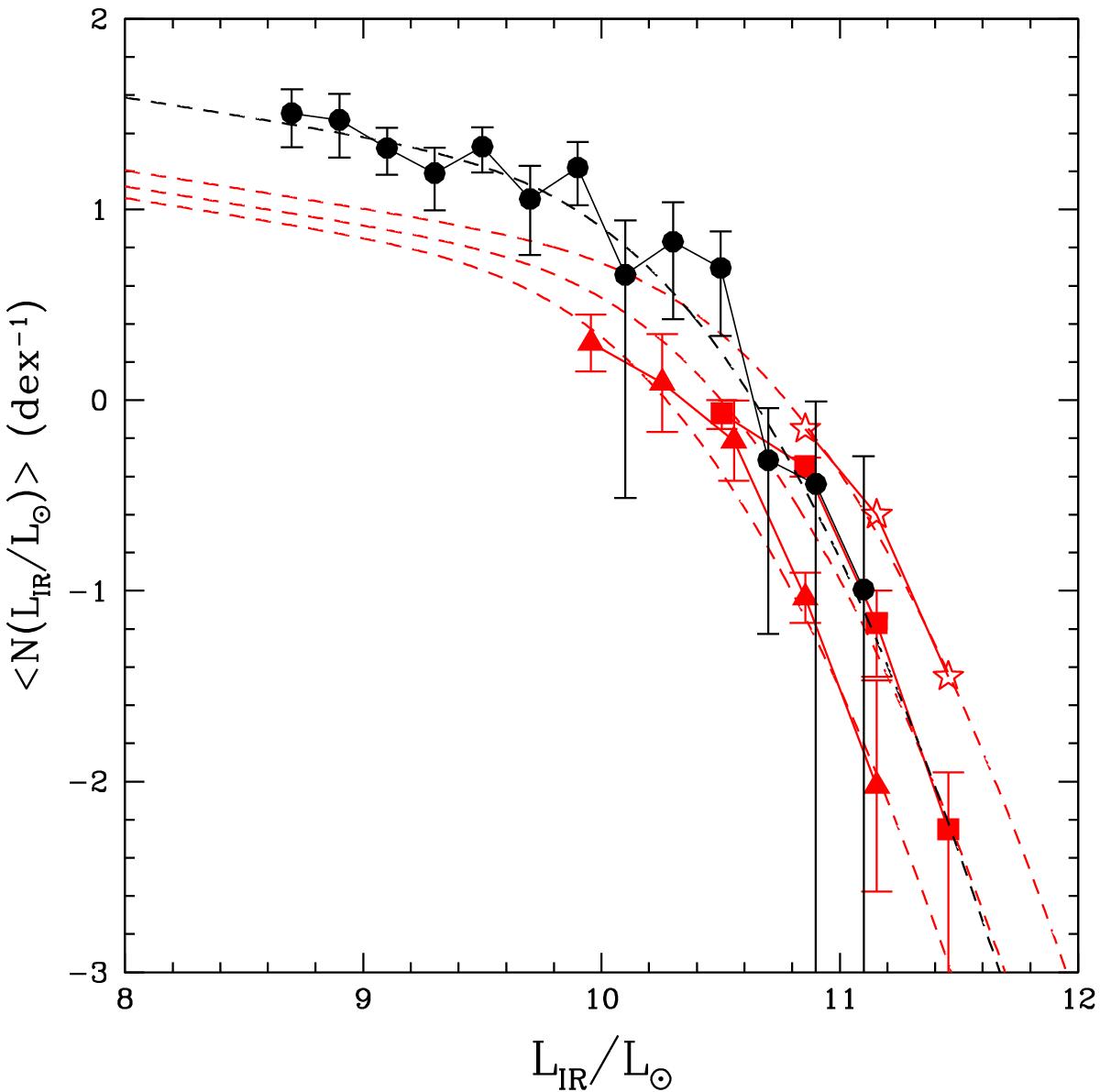
Fig. 5

Comparison of the IR LFs in groups (black filled points and solid lines) at 0.1 <z< 0.4 derived in this work and the group LFs of Guo et al. (2014) (red symbols and dashed lines) converted into IR LF derived at 0.1 < 0 < 0.2 (triangles), 0.2 < 0 < 0.3 (squares), and 0.3 <z< 0.4 (stars). For clarity we show here only the best fit derived with the modified Schechter function of Saunders et al. (1990).
Current usage metrics show cumulative count of Article Views (full-text article views including HTML views, PDF and ePub downloads, according to the available data) and Abstracts Views on Vision4Press platform.
Data correspond to usage on the plateform after 2015. The current usage metrics is available 48-96 hours after online publication and is updated daily on week days.
Initial download of the metrics may take a while.