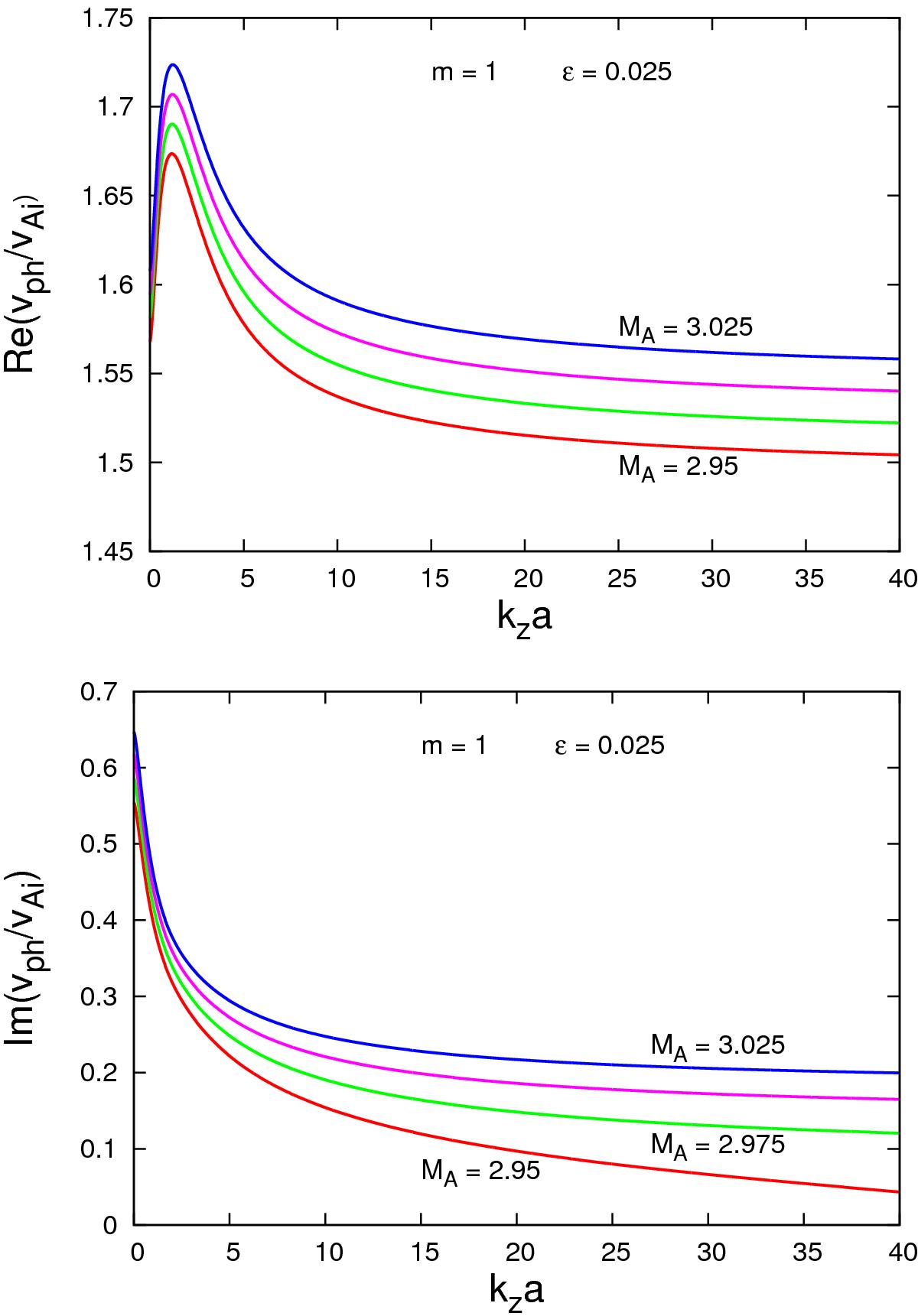
Fig. 4

Top panel: dispersion curves of an unstable kink (m = 1) mode propagating on a moving twisted magnetic flux tube with twist parameter ε = 0.025 at η = 0.88, b = 1.58 and Alfvén Mach numbers equal to 2.95, 2.975, 3, and 3.025. Bottom panel: growth rates of the unstable kink mode. Note that the marginal red curve reaches values lower than 0.001 beyond kza = 53.
Current usage metrics show cumulative count of Article Views (full-text article views including HTML views, PDF and ePub downloads, according to the available data) and Abstracts Views on Vision4Press platform.
Data correspond to usage on the plateform after 2015. The current usage metrics is available 48-96 hours after online publication and is updated daily on week days.
Initial download of the metrics may take a while.