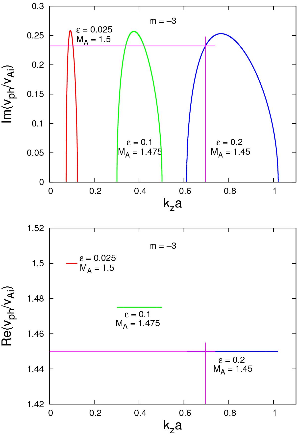
Fig. 5

Top panel: growth rates of an unstable m = −3 MHD mode in three instability windows. Adequate numerical values consistent with the observational data are obtained at kza = 0.696245, located in the third instability window, for which value of the dimensionless wave number the normalised mode growth rate is equal to 0.232117. Bottom panel: dispersion curves of unstable m = −3 MHD mode for three values of the twist parameter ε = 0.025, 0.1, and 0.2. The normalised phase velocity at kza = 0.696245 is equal to 1.45.
Current usage metrics show cumulative count of Article Views (full-text article views including HTML views, PDF and ePub downloads, according to the available data) and Abstracts Views on Vision4Press platform.
Data correspond to usage on the plateform after 2015. The current usage metrics is available 48-96 hours after online publication and is updated daily on week days.
Initial download of the metrics may take a while.