Free Access
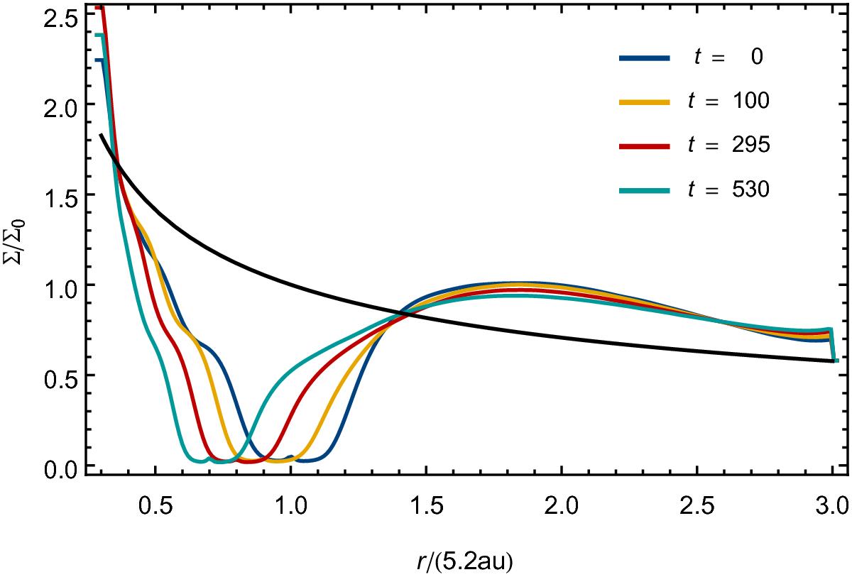
Fig. 7

Global gap profiles at four different times during migration of the planet for the standard model with q = 0.001 and ṁ = 10-7. The black line indicates the unperturbed density profile without the planet.
Current usage metrics show cumulative count of Article Views (full-text article views including HTML views, PDF and ePub downloads, according to the available data) and Abstracts Views on Vision4Press platform.
Data correspond to usage on the plateform after 2015. The current usage metrics is available 48-96 hours after online publication and is updated daily on week days.
Initial download of the metrics may take a while.