Fig. 1

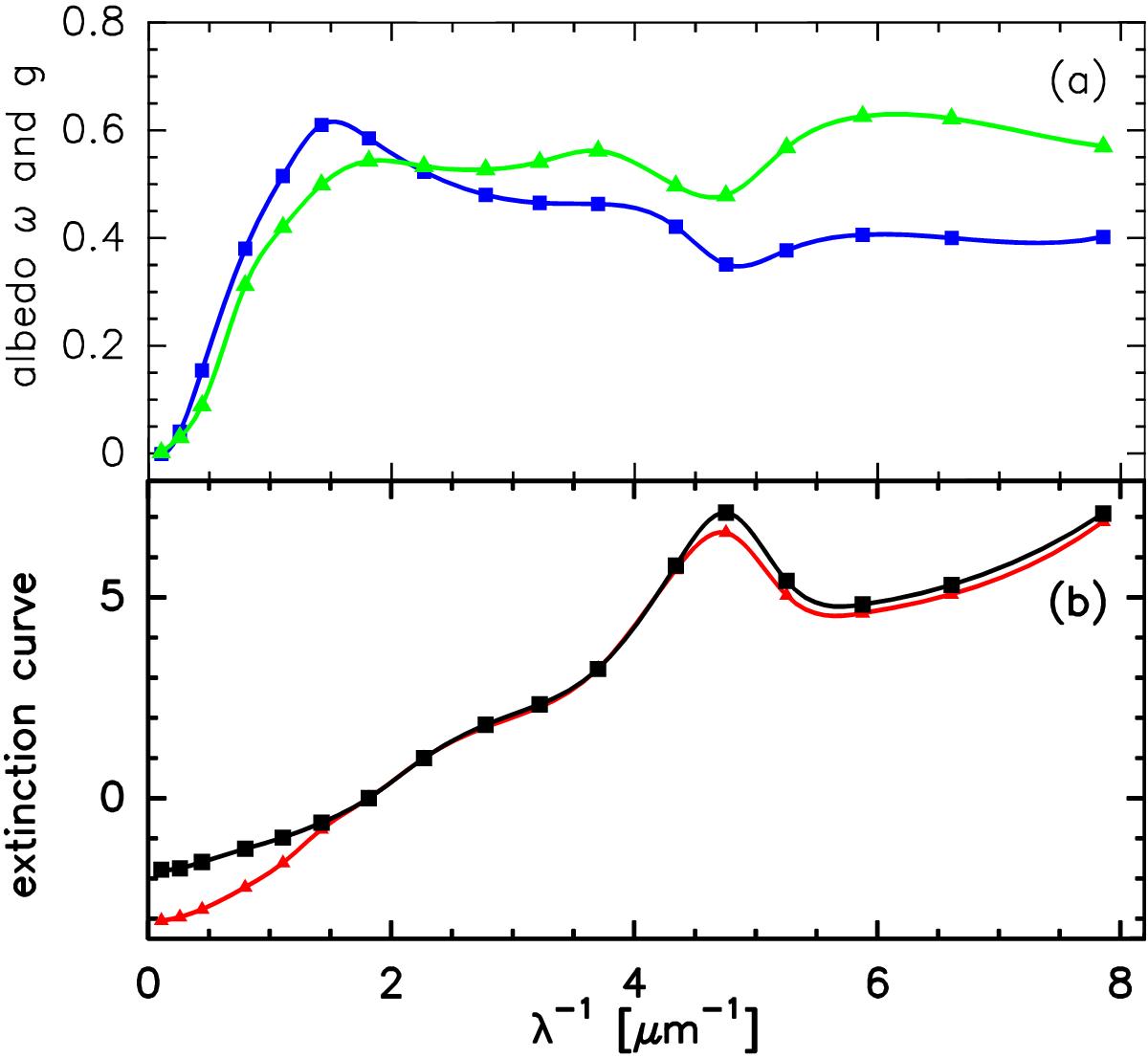
a) Abedo ω (blue squares) and asymmetry factor, g, (green triangles) for standard dust defined in Sect. 3.1; it is used in all models of this paper. Points mark frequently used wavelengths, like UBVRI ...b) Standard dust produces in pencil beam observations the standard extinction curve ℰλ (red triangles). The black squares display the effective extinction curve assuming a Henyey-Greenstein phase function towards an unresolved shell source (see Fig. 2) with τV = 2 and other parameters as described in Sect. 5.2.1.
Current usage metrics show cumulative count of Article Views (full-text article views including HTML views, PDF and ePub downloads, according to the available data) and Abstracts Views on Vision4Press platform.
Data correspond to usage on the plateform after 2015. The current usage metrics is available 48-96 hours after online publication and is updated daily on week days.
Initial download of the metrics may take a while.