Free Access
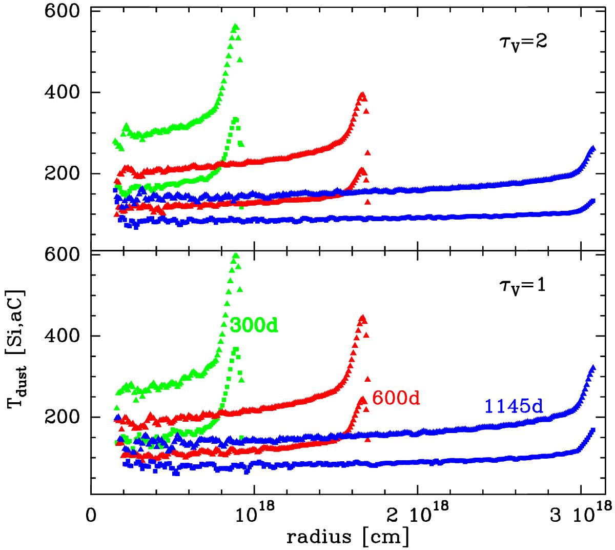
Fig. 10

SN Model 1. Dust temperatures at 300, 600 and 1145 days after the first photon has crossed the inner radius R1. For the same color, the upper curve refers to amorphous carbon grains, the lower one to silicates.
Current usage metrics show cumulative count of Article Views (full-text article views including HTML views, PDF and ePub downloads, according to the available data) and Abstracts Views on Vision4Press platform.
Data correspond to usage on the plateform after 2015. The current usage metrics is available 48-96 hours after online publication and is updated daily on week days.
Initial download of the metrics may take a while.