Free Access
Fig. 13

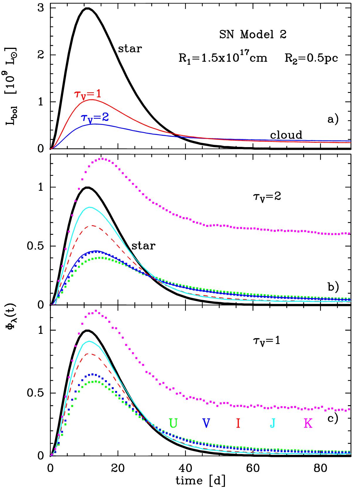
SN Model 2. Like Model 1, but with smaller outer cloud radius R2 = 0.5 pc. The values of and
for τV = 1 (2) are again almost the same as for SN Model 1. See caption Fig. 7.
Current usage metrics show cumulative count of Article Views (full-text article views including HTML views, PDF and ePub downloads, according to the available data) and Abstracts Views on Vision4Press platform.
Data correspond to usage on the plateform after 2015. The current usage metrics is available 48-96 hours after online publication and is updated daily on week days.
Initial download of the metrics may take a while.