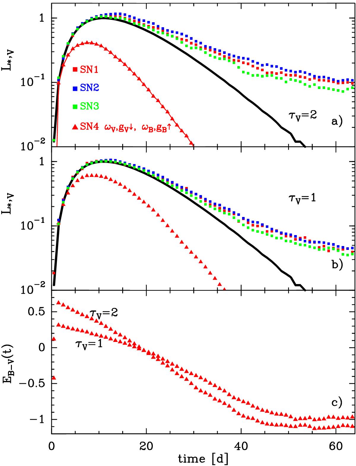
Fig. 21

a) and b): the V-brightness of the star from Eq. (17) as deduced by an observer in units of the true maximum stellar brightness. The true stellar brightness is given by the solid line. The models differ in size and, for SN4 also in the scattering properties of the dust. SN4 is otherwise identical to SN1. c) The color excess EB − V(t) for SN4.
Current usage metrics show cumulative count of Article Views (full-text article views including HTML views, PDF and ePub downloads, according to the available data) and Abstracts Views on Vision4Press platform.
Data correspond to usage on the plateform after 2015. The current usage metrics is available 48-96 hours after online publication and is updated daily on week days.
Initial download of the metrics may take a while.