Free Access
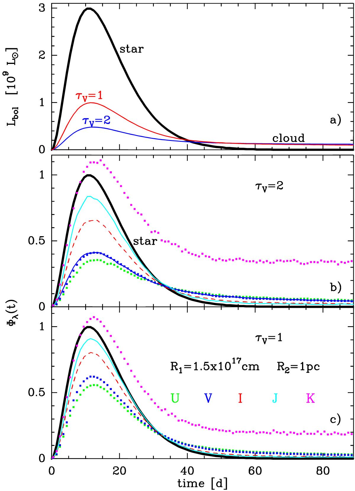
Fig. 7

SN Model 1 with R1 = 1.5 × 1017 cm, R2 = 1 pc and τV = 1 or 2. a) Bolometric luminosity of the envelope and the unobscured star. b) and c) Light curves Φλ(t) defined in Eq. (15) in selected bands and the normalized stellar light curve.
Current usage metrics show cumulative count of Article Views (full-text article views including HTML views, PDF and ePub downloads, according to the available data) and Abstracts Views on Vision4Press platform.
Data correspond to usage on the plateform after 2015. The current usage metrics is available 48-96 hours after online publication and is updated daily on week days.
Initial download of the metrics may take a while.