Free Access
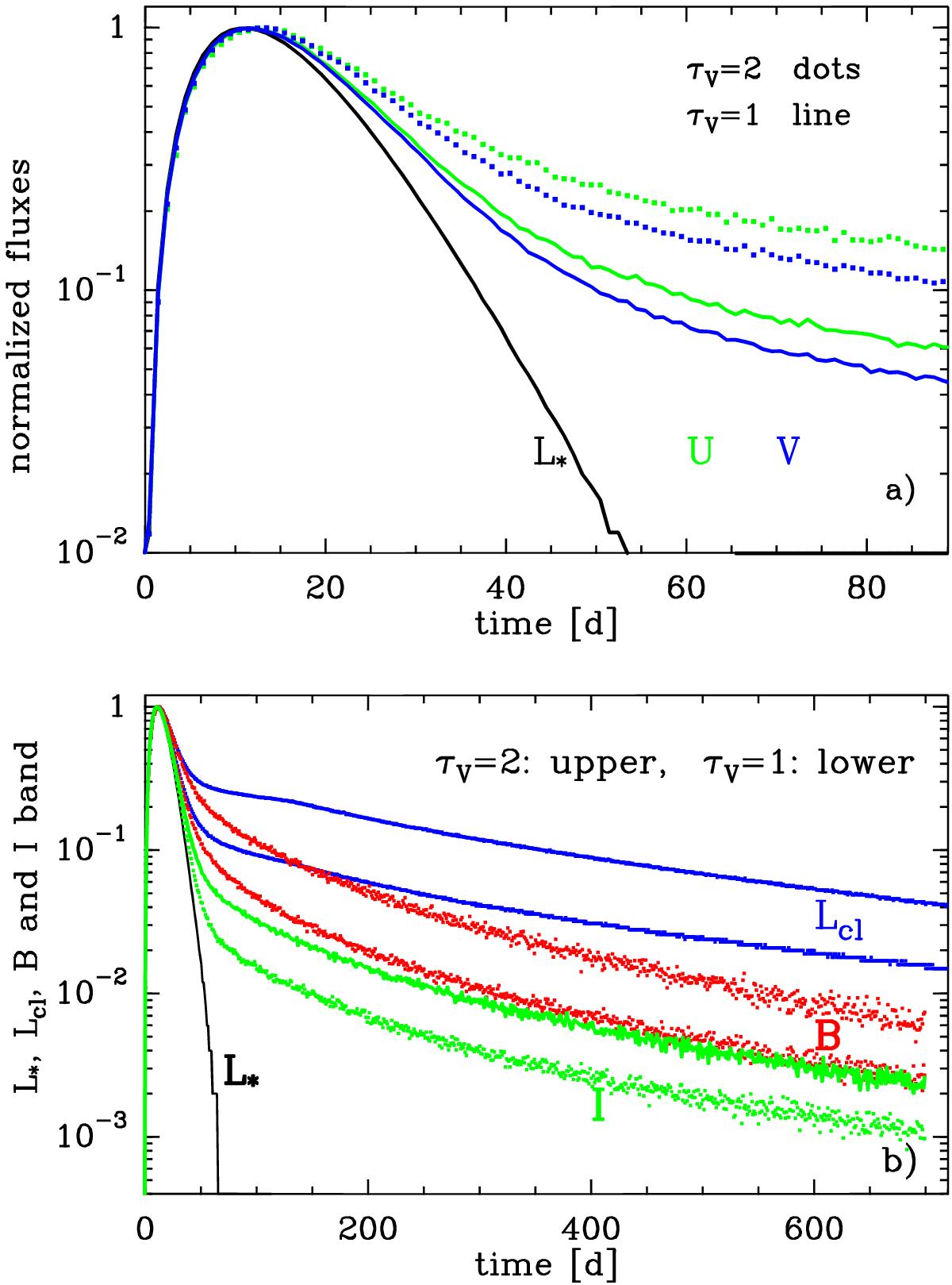
Fig. 8

SN Model 1. a) Light curves of the unobscured star and of the U and B band of the cloud, all normalized at their maximum. b) The long-term decline of the bolometric luminosity of the cloud (Lcl), the star (L∗) and the cloud fluxes in the B and I band.
Current usage metrics show cumulative count of Article Views (full-text article views including HTML views, PDF and ePub downloads, according to the available data) and Abstracts Views on Vision4Press platform.
Data correspond to usage on the plateform after 2015. The current usage metrics is available 48-96 hours after online publication and is updated daily on week days.
Initial download of the metrics may take a while.