Free Access
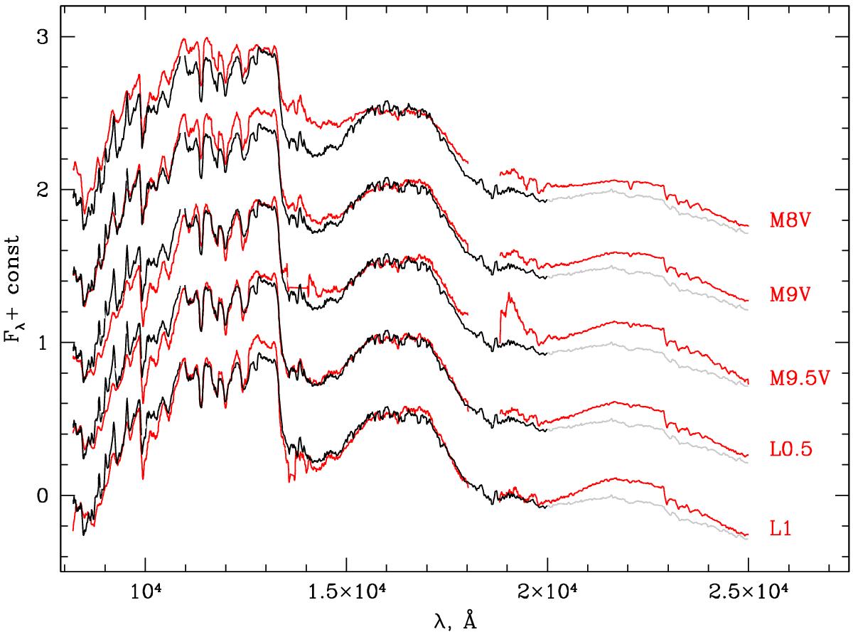
Fig. 5

NIR spectrum of WISE J0720 (black; gray for the region with λ ≥ 20 000 Å that is not used for spectral typing because of the poor wavelength calibration, see Sect. 2.2) compared with templates from the IRTF library (red; Cushing et al. 2005; Rayner et al. 2009). As in Fig. 2, the cosmic ray hit region is omitted.
Current usage metrics show cumulative count of Article Views (full-text article views including HTML views, PDF and ePub downloads, according to the available data) and Abstracts Views on Vision4Press platform.
Data correspond to usage on the plateform after 2015. The current usage metrics is available 48-96 hours after online publication and is updated daily on week days.
Initial download of the metrics may take a while.