Free Access

Fig. 2

image

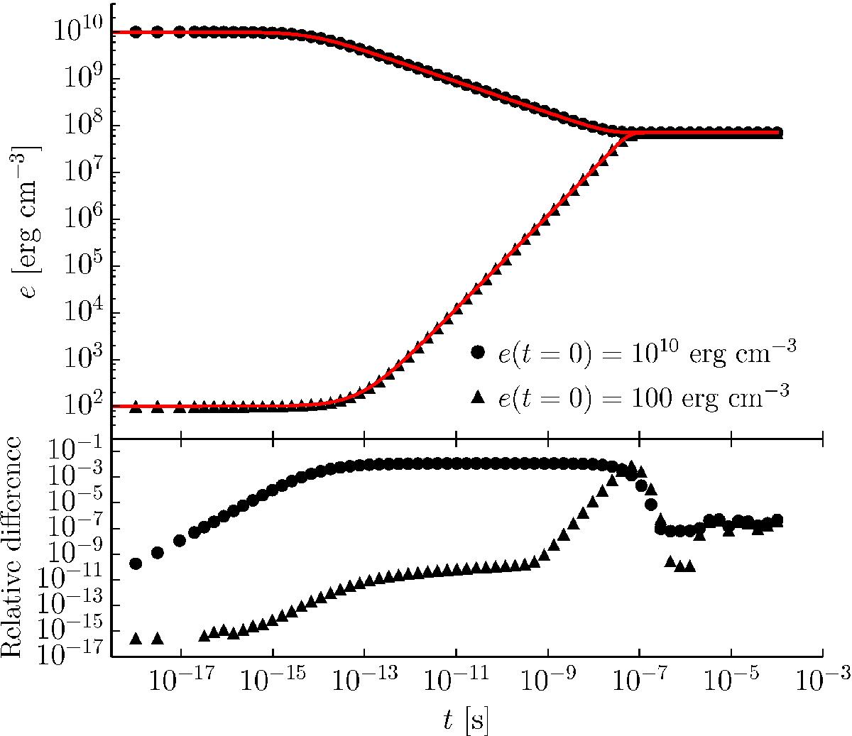
Radiation-matter coupling test. Top: internal energy density as a function of time given two different initial states: 102 erg cm-3 (triangles) and 1010 erg cm-3 (circles). The reference solution is also plotted (red). Bottom: relative difference between numerical and reference solutions.

Current usage metrics show cumulative count of Article Views (full-text article views including HTML views, PDF and ePub downloads, according to the available data) and Abstracts Views on Vision4Press platform.

Data correspond to usage on the plateform after 2015. The current usage metrics is available 48-96 hours after online publication and is updated daily on week days.

Initial download of the metrics may take a while.