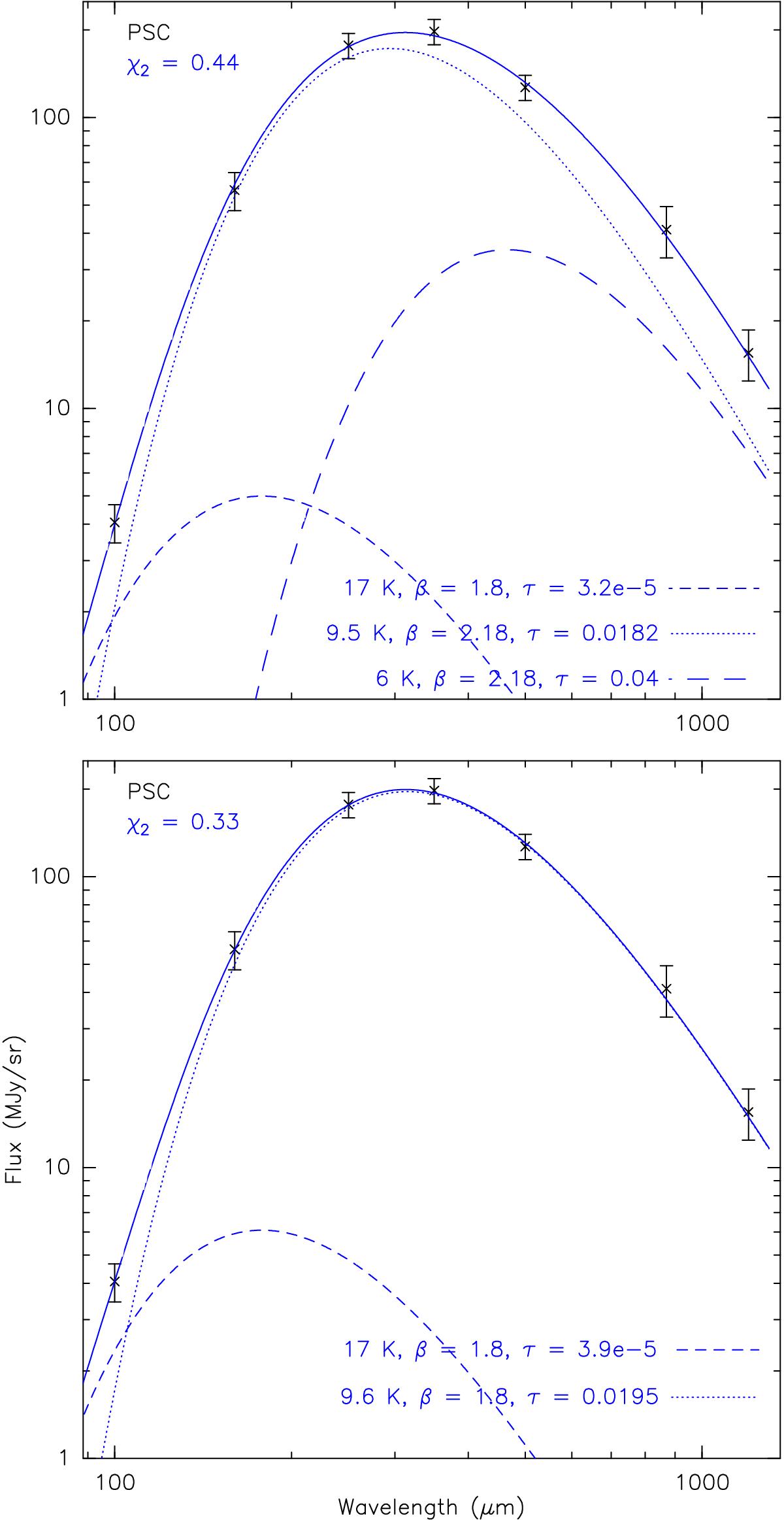
Fig. 4

SEDs of the three points of interest defined in Fig. 2 along the cut (in apparition order, the main PSC, the saddle and the northern PSC). Top row, the SEDs are fitted with three modified blackbodies, bottom row, with two modified blackbodies. Opacity is given at 300 μm. Click to display the three cases in turn. The three plots are shown separately in Fig. A.2.
Current usage metrics show cumulative count of Article Views (full-text article views including HTML views, PDF and ePub downloads, according to the available data) and Abstracts Views on Vision4Press platform.
Data correspond to usage on the plateform after 2015. The current usage metrics is available 48-96 hours after online publication and is updated daily on week days.
Initial download of the metrics may take a while.