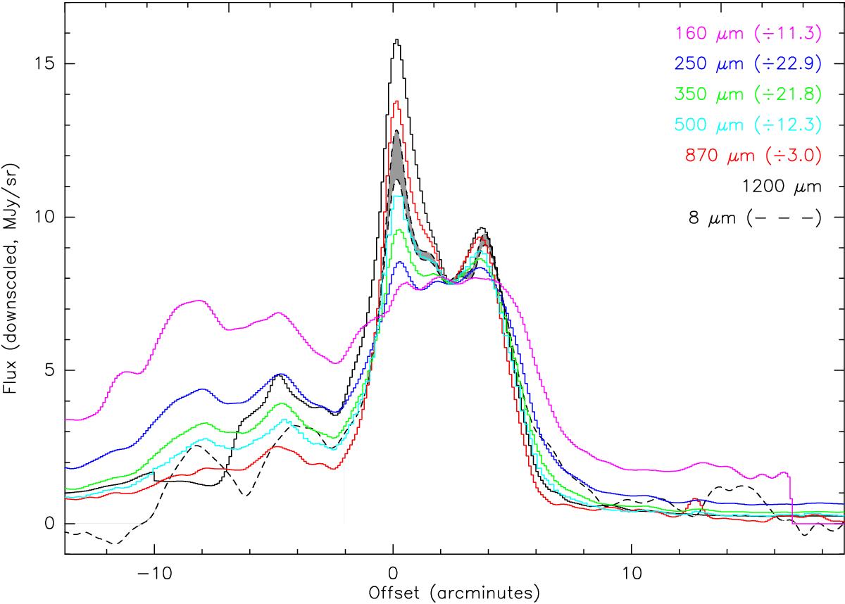
Fig. A.1

L183 cut for dust emission. It includes data from Herschel PACS and SPIRE, APEX/LABOCA, and IRAM-30 m/MAMBO data, all convolved to 37′′ resolution. The fluxes are scaled down by the amount indicated to the right of the wavelengths to align all the fluxes on the saddle point. The 8 μm opacity range is displayed (dashed lines filled in grey), the 100 μm cut is omitted since it only traces the cloud content at its surface. This is the developed version of Fig. 3. The colour is changed for each wavelength to help separate them.
Current usage metrics show cumulative count of Article Views (full-text article views including HTML views, PDF and ePub downloads, according to the available data) and Abstracts Views on Vision4Press platform.
Data correspond to usage on the plateform after 2015. The current usage metrics is available 48-96 hours after online publication and is updated daily on week days.
Initial download of the metrics may take a while.