Free Access
Fig. 1

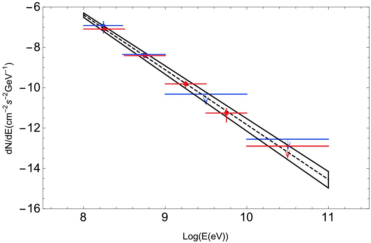
Averaged differential spectrum of 3C 120 (above 100 MeV) red points as compared with that based on the initial 15 month data set (Abdo et al. 2010c). The dashed black line shows the power law function determined from the gtlike.
Current usage metrics show cumulative count of Article Views (full-text article views including HTML views, PDF and ePub downloads, according to the available data) and Abstracts Views on Vision4Press platform.
Data correspond to usage on the plateform after 2015. The current usage metrics is available 48-96 hours after online publication and is updated daily on week days.
Initial download of the metrics may take a while.