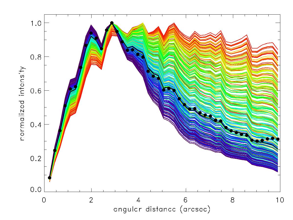
Fig. 3

Normalized intensity profiles of various model settings (coloured curves). Curves with colours from blue to red correspond to size distribution parameters from q = −1.6 to –3.0. The observed intensity profile is marked by black dots. The “best fit” (lowest χ2) curve (solid line) corresponds to a model setting of t0 = 1.6 × 107 s, vref = 1.0 m s-1, and q = −2.0.
Current usage metrics show cumulative count of Article Views (full-text article views including HTML views, PDF and ePub downloads, according to the available data) and Abstracts Views on Vision4Press platform.
Data correspond to usage on the plateform after 2015. The current usage metrics is available 48-96 hours after online publication and is updated daily on week days.
Initial download of the metrics may take a while.