Free Access

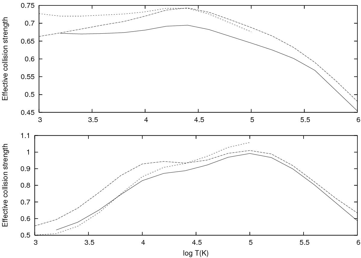
Fig. 5

image

Effective collision strengths for the forbidden 2s22p42s22p4 (1–2) (lower panel) and 2s22p42s22p4 (1–4) (upper panel) transitions as a function of electron temperature. Present results, solid curve; Hudson et al. (2009), long-dashed curve; Butler & Zeippen (1994), short-dashed curve.

Current usage metrics show cumulative count of Article Views (full-text article views including HTML views, PDF and ePub downloads, according to the available data) and Abstracts Views on Vision4Press platform.

Data correspond to usage on the plateform after 2015. The current usage metrics is available 48-96 hours after online publication and is updated daily on week days.

Initial download of the metrics may take a while.