Free Access

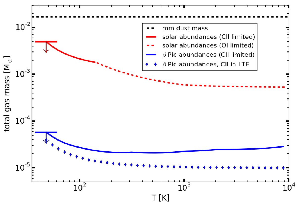
Fig. 3

image

Total gas mass as a function of the kinetic temperature, derived from models reproducing either the C ii or O i flux limit from Table 1 (as indicated in the legend). The C/O ratio is fixed to solar. The gas masses are derived using the non-LTE code radex for both solar and β Pic-like elemental abundances. In addition, the gas mass derived from a simple LTE calculation is shown for β Pic-like abundances. The total gas mass remains below the mm dust mass (horizontal dashed line) over the entire temperature range. We take the gas masses at the lowest kinetic temperature as our upper limits (indicated by an arrow and shown in Table 2).

Current usage metrics show cumulative count of Article Views (full-text article views including HTML views, PDF and ePub downloads, according to the available data) and Abstracts Views on Vision4Press platform.

Data correspond to usage on the plateform after 2015. The current usage metrics is available 48-96 hours after online publication and is updated daily on week days.

Initial download of the metrics may take a while.