Free Access
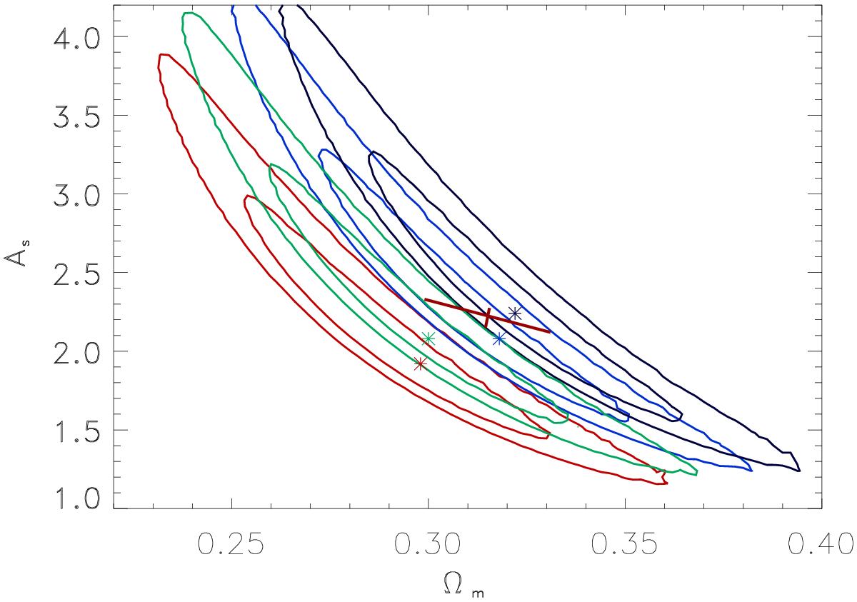
Fig. 2

Constraints on As and σ8 from the REFLEX II X-ray luminosity function for values of Mν = 0, 0.17, 0.4, and 0.6 eV for the contours from bottom to top, respectively. The contours give the 1 and 2σ confidence intervals. We also show the constraints derived from the Planck CMB observations (data point with 1σ error bars).
Current usage metrics show cumulative count of Article Views (full-text article views including HTML views, PDF and ePub downloads, according to the available data) and Abstracts Views on Vision4Press platform.
Data correspond to usage on the plateform after 2015. The current usage metrics is available 48-96 hours after online publication and is updated daily on week days.
Initial download of the metrics may take a while.