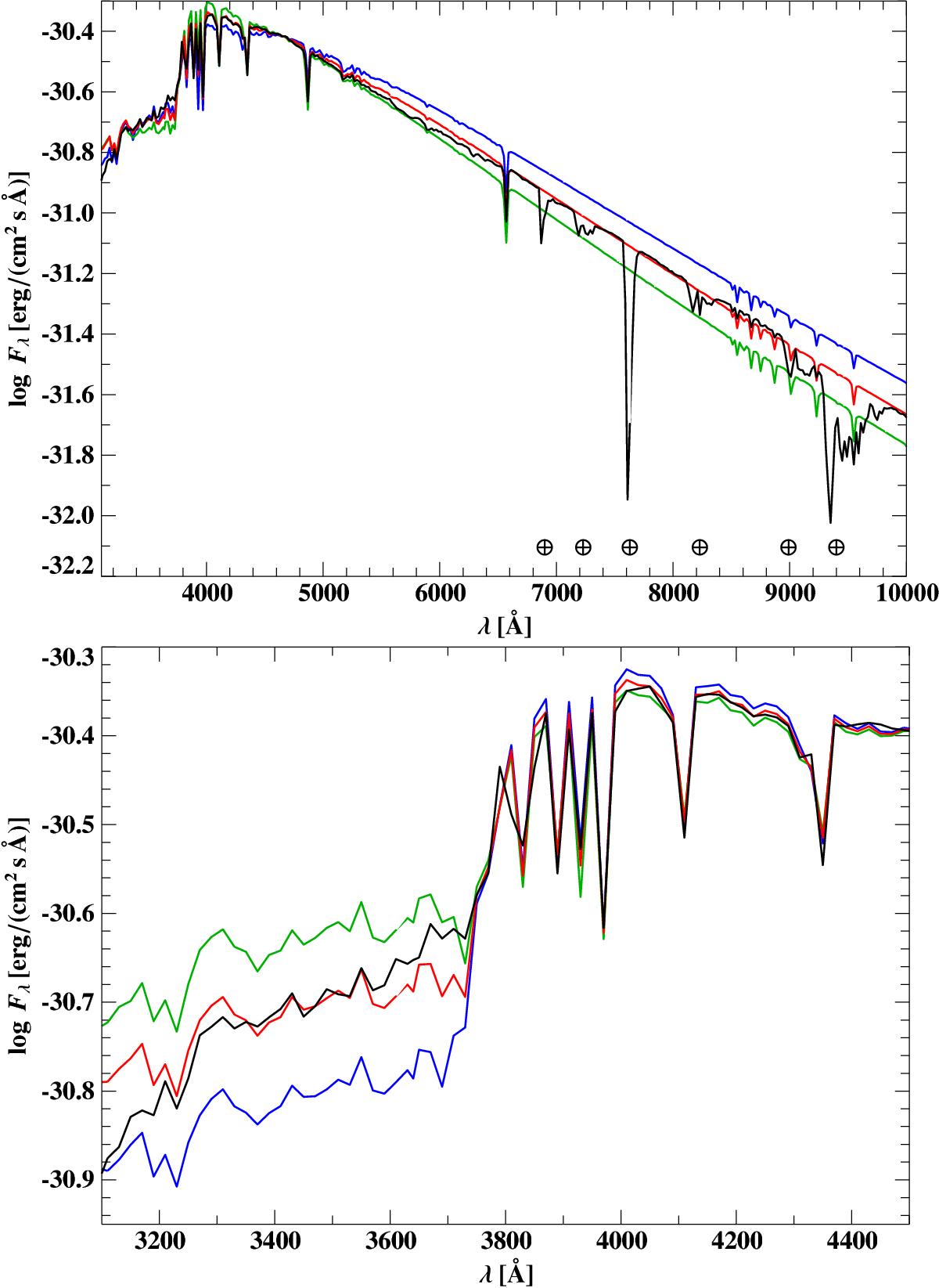
Fig. 5

X-Shooter spectrum of WISE J0725−2351 (black; telluric absorption bands are marked by ⊕) compared to a synthetic spectrum with [Fe/H] = −2.0, Teff = 6250 K and log g = 4.0 (red). Top: for the full wavelength interval additional synthetic spectra with changed temperature Teff = 6500 K (green) and 6000 K (blue) are shown. Bottom: for the region of the Balmer jump, the additional synthetic spectra show the effect of changing gravity to log g = 4.5 (green) and log g = 3.5 (blue).
Current usage metrics show cumulative count of Article Views (full-text article views including HTML views, PDF and ePub downloads, according to the available data) and Abstracts Views on Vision4Press platform.
Data correspond to usage on the plateform after 2015. The current usage metrics is available 48-96 hours after online publication and is updated daily on week days.
Initial download of the metrics may take a while.