Free Access

Fig. 2

image

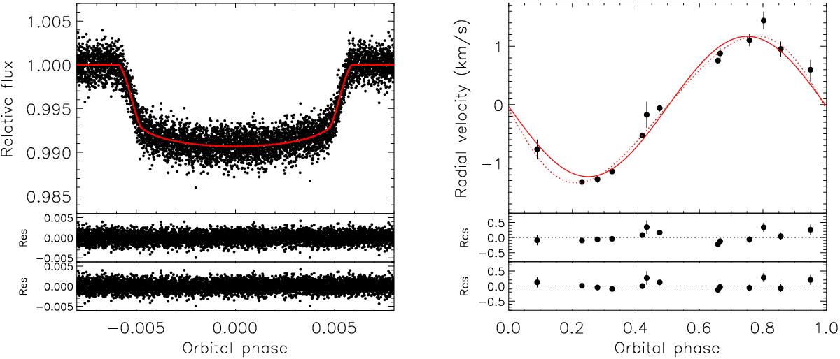
Left panel. Top: phase-folded transit of Kepler-39b along with the transit models for the circular (red solid line) and eccentric (red dotted line) orbits. The two models are indistinguishable. Middle: residuals of the circular orbit. Bottom: residuals of the eccentric orbit. Right panel. Top: phase-folded radial-velocity curve of Kepler-39 and, superimposed, the Keplerian models for the circular (red solid line) and eccentric (red dotted line) orbits. Middle: O–C of the circular orbit. Bottom: O–C of the eccentric orbit.

This figure is made of several images, please see below:

Current usage metrics show cumulative count of Article Views (full-text article views including HTML views, PDF and ePub downloads, according to the available data) and Abstracts Views on Vision4Press platform.

Data correspond to usage on the plateform after 2015. The current usage metrics is available 48-96 hours after online publication and is updated daily on week days.

Initial download of the metrics may take a while.