Free Access

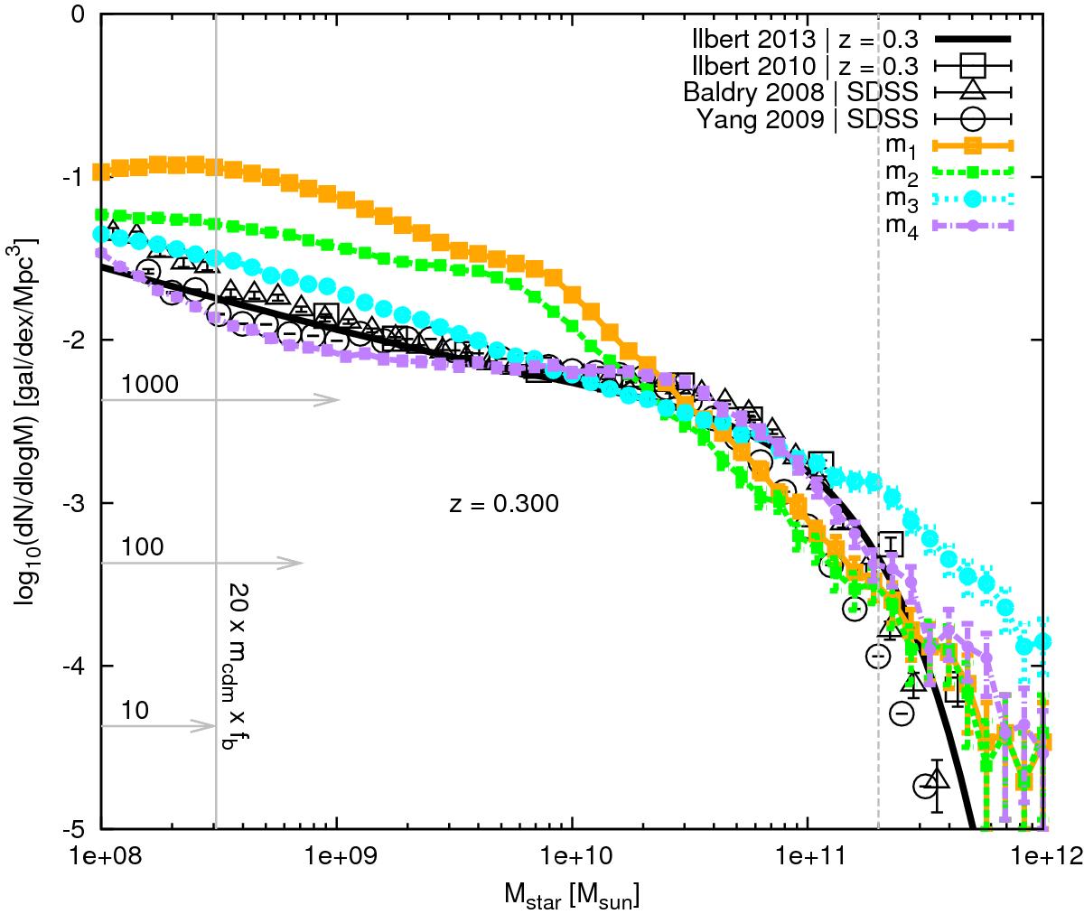
Fig. A.1

image

Stellar mass function predicted by our different models at z = 0.3. The colour code is given in Table 1. We compare our results with Ilbert et al. (2010, 2013; squares), Yang et al. (2009; circles) and Baldry et al. (2008; triangles) observations. Horizontal arrows show the link between the density and the number of haloes in our simulation volume. We show in this figure the error bars related to cosmic variance.

Current usage metrics show cumulative count of Article Views (full-text article views including HTML views, PDF and ePub downloads, according to the available data) and Abstracts Views on Vision4Press platform.

Data correspond to usage on the plateform after 2015. The current usage metrics is available 48-96 hours after online publication and is updated daily on week days.

Initial download of the metrics may take a while.