Free Access

Fig. 10

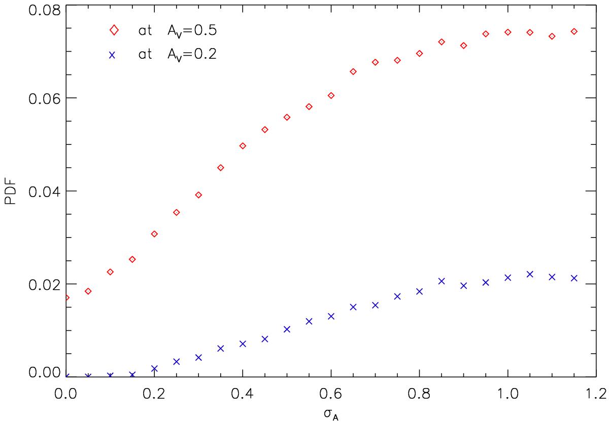
image

Amplitude of the low column density in the PDF as a function of the added level of noise or small-scale fluctuations, corresponding to Fig. 8 for two points in the low-column density wing. The scatter in the points results from the adaptive binning in the PDF computation.

Current usage metrics show cumulative count of Article Views (full-text article views including HTML views, PDF and ePub downloads, according to the available data) and Abstracts Views on Vision4Press platform.

Data correspond to usage on the plateform after 2015. The current usage metrics is available 48-96 hours after online publication and is updated daily on week days.

Initial download of the metrics may take a while.