Free Access

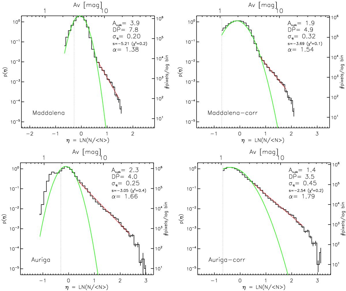
Fig. 2

image

PDFs derived from Herschel column density maps toward the low-mass star-forming regions Maddalena and Auriga. Left panel: PDF from the original map, right: one from the corrected map. The vertical dashed line indicates the approximate completeness limit. The left y-axis gives the normalized probability p(η), the right y-axis the number of pixels per log bin. The upper x-axis is the visual extinction and the lower x-axis the logarithm of the normalized column density. The green curve indicates the fitted PDF. For Auriga, diffuse LOS-contamination (or a well defined seperate cloud) shows up as an individual PDF at low extinctions. The red line indicates a power-law fit to the high Av tail. Inside each panel, we give the value where the PDF peaks (Av,pk), the deviation point from lognormal to power-law tail (DP), the dispersion of the fitted PDF (ση), the slope s and the X2 of the fit (linear regression), and the exponent α of an equivalent spherical density distribution. These values are also summarized in Table 1.

Current usage metrics show cumulative count of Article Views (full-text article views including HTML views, PDF and ePub downloads, according to the available data) and Abstracts Views on Vision4Press platform.

Data correspond to usage on the plateform after 2015. The current usage metrics is available 48-96 hours after online publication and is updated daily on week days.

Initial download of the metrics may take a while.