Free Access

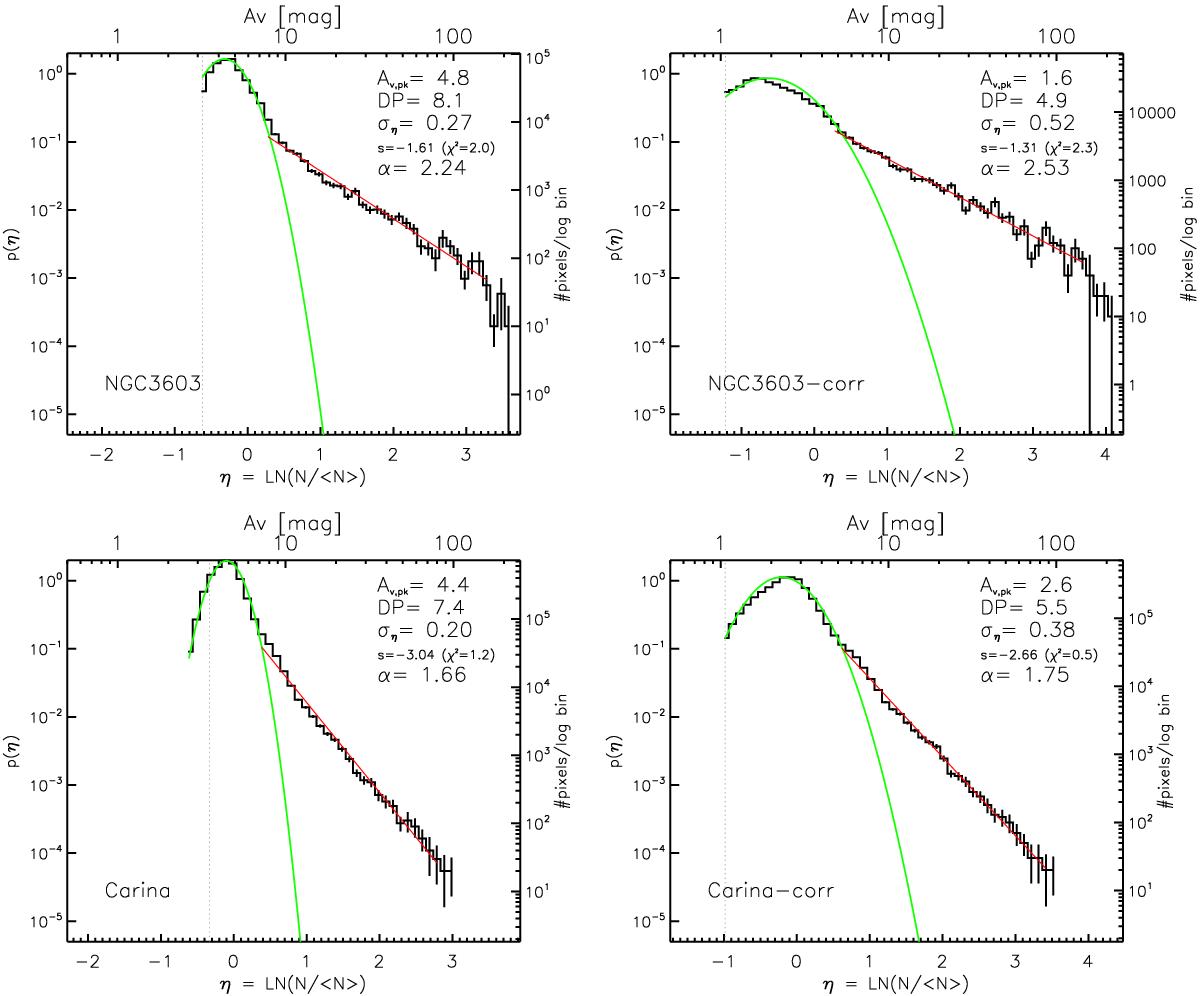
Fig. 3

image

PDFs derived from Herschel column density maps toward the high-mass star-forming regions NGC 3603 and Carina. Left panel: the PDF from the original map, right: one from the corrected map. All other parameters as in Fig. 1.

Current usage metrics show cumulative count of Article Views (full-text article views including HTML views, PDF and ePub downloads, according to the available data) and Abstracts Views on Vision4Press platform.

Data correspond to usage on the plateform after 2015. The current usage metrics is available 48-96 hours after online publication and is updated daily on week days.

Initial download of the metrics may take a while.