Free Access

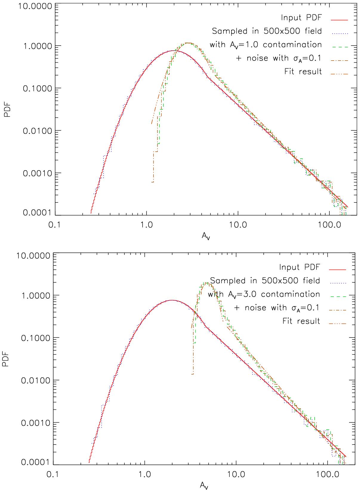
Fig. 5

image

Simulations of the PDF of an observed cloud with an originally perfectly lognormal core and a power-law tail (solid line). The representation by a finite-size map introduces some uncertainties (dotted line). The addition of an ΔAv = 1.0 (3) contamination distorts the shape of the PDF and observational noise adds a low-exctinction component. The deviation point Av (DP) shifts by ~4 mag for a contamination of ΔAv = 1.0 (3). The fit of the resulting PDF by a lognormal core and a power-law tail does not recover the initial parameters.

Current usage metrics show cumulative count of Article Views (full-text article views including HTML views, PDF and ePub downloads, according to the available data) and Abstracts Views on Vision4Press platform.

Data correspond to usage on the plateform after 2015. The current usage metrics is available 48-96 hours after online publication and is updated daily on week days.

Initial download of the metrics may take a while.