Free Access

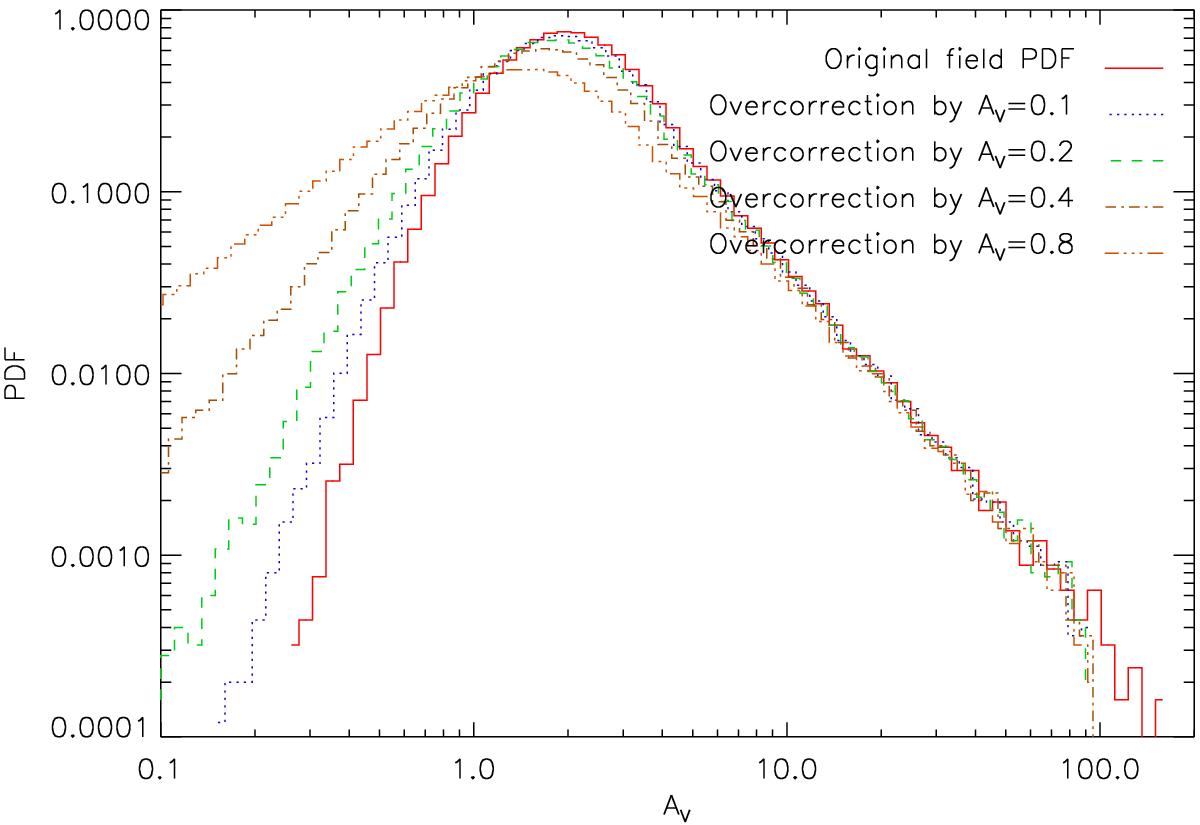
Fig. 9

image

Simulations of a PDF with negligible noise (σA = 0.01) when applying values that are too high for the contamination correction ΔAv. The reconstruction does not depend on the absolute value of the foreground/background contamination but only on the difference between actual contamination and subtracted contamination.

Current usage metrics show cumulative count of Article Views (full-text article views including HTML views, PDF and ePub downloads, according to the available data) and Abstracts Views on Vision4Press platform.

Data correspond to usage on the plateform after 2015. The current usage metrics is available 48-96 hours after online publication and is updated daily on week days.

Initial download of the metrics may take a while.