Free Access

Fig. 9

image

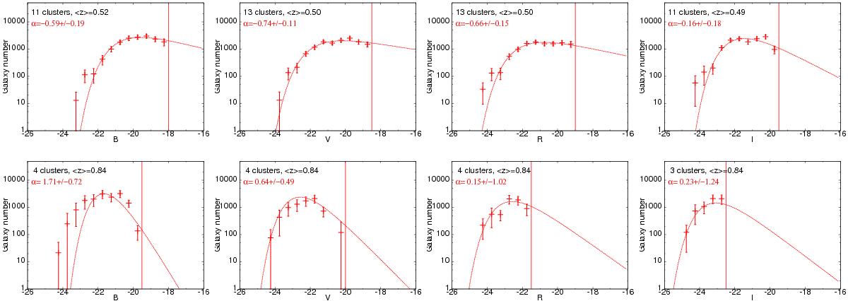
Evolution of red-sequence GLFs with redshift in the B,V,R and I rest-frame bands (from left to right) for clusters stacked together. The first line of figures is for clusters with redshifts 0.40 ≤ z< 0.65 and the last line of figures is for clusters with redshifts 0.65 ≤ z< 0.90. Red crosses are red-sequence GLFs normalized to 1 deg2. The vertical red lines indicate the 90% completeness limit. Red curves are the best Schechter fits to red-sequence galaxies. The slope of the fit α is given with the number of clusters and the mean redshift of the stack. Refer to Table 3 for all Schechter fit parameters.

This figure is made of several images, please see below:

Current usage metrics show cumulative count of Article Views (full-text article views including HTML views, PDF and ePub downloads, according to the available data) and Abstracts Views on Vision4Press platform.

Data correspond to usage on the plateform after 2015. The current usage metrics is available 48-96 hours after online publication and is updated daily on week days.

Initial download of the metrics may take a while.