Free Access

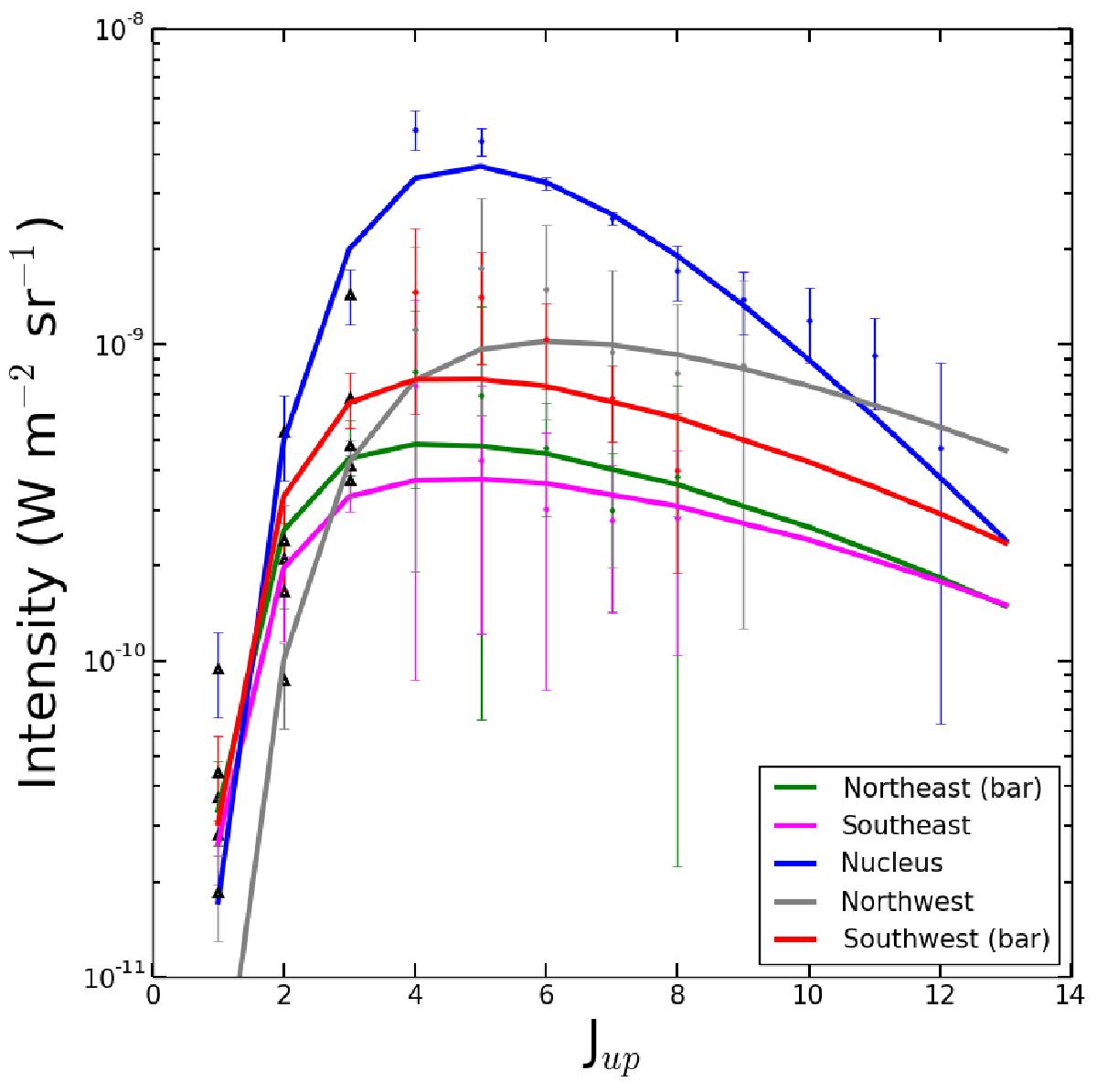
Fig. 9

image

Comparison of the CO SLEDs from the five color-masked pixels in Fig. 5. The five pixels are chosen to be the nucleus (blue) and four pixels that have equal distance (~1 kpc) from the nucleus at the northeast (green), southeast (magenta), northwest (gray), and southwest (red). The SLEDs and their best-fit from RADEX are shown in the same color.

Current usage metrics show cumulative count of Article Views (full-text article views including HTML views, PDF and ePub downloads, according to the available data) and Abstracts Views on Vision4Press platform.

Data correspond to usage on the plateform after 2015. The current usage metrics is available 48-96 hours after online publication and is updated daily on week days.

Initial download of the metrics may take a while.