Free Access

Fig. 1

image

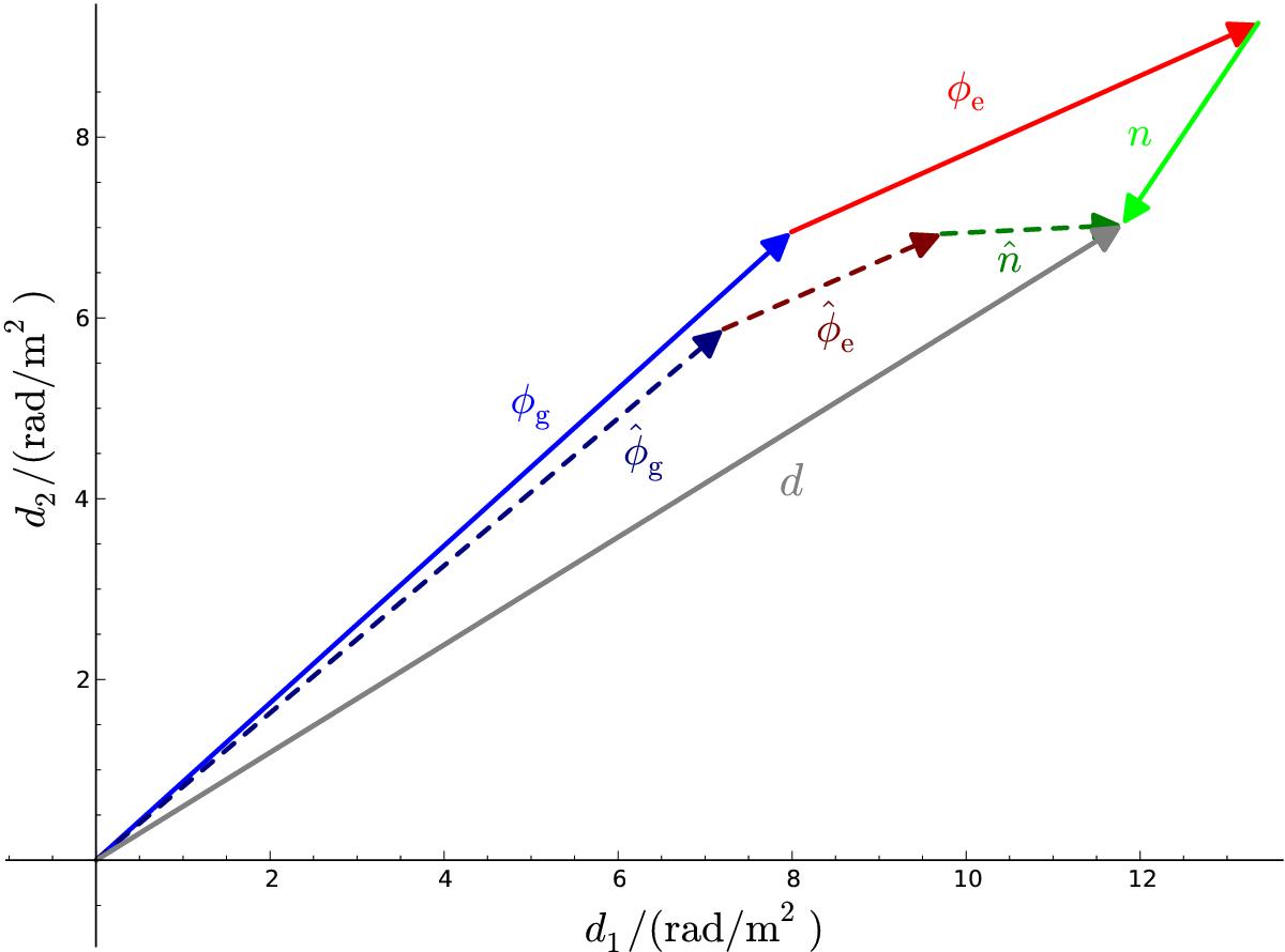
Visualization of the data space in the case of only two Faraday rotation measurements. Each coordinate denotes the possible values for the two measurements d1 and d2 at two sky positions. The data vector, d = (d1,d2) is the sum of a vector of Galactic Faraday depth, φg = (φg,1,φg,2), of a vector of extragalactic Faraday depth, φe = (φe,1,φe,2), and of a measurement noise vector, n = (n1,n2). The reconstructions of these three components, , , and , are shown as dashed arrows. Their sum is also equal to the data, however they differ from the correct components due to the impossibility to uniquely separate one data vector into three statistically independent components.

Current usage metrics show cumulative count of Article Views (full-text article views including HTML views, PDF and ePub downloads, according to the available data) and Abstracts Views on Vision4Press platform.

Data correspond to usage on the plateform after 2015. The current usage metrics is available 48-96 hours after online publication and is updated daily on week days.

Initial download of the metrics may take a while.