Free Access

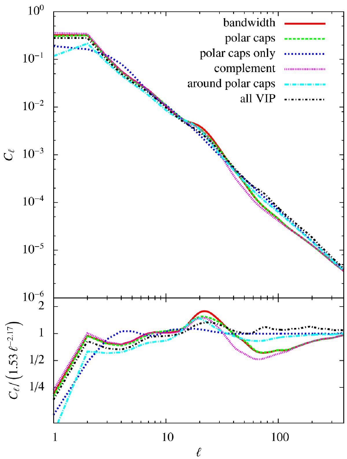
Fig. 10

image

Reconstructed angular power spectra of the dimensionless Galactic signal field. The lower panel shows the ratio of the reconstructed spectra and a power law fit, C = 1.53 -2.17.

Current usage metrics show cumulative count of Article Views (full-text article views including HTML views, PDF and ePub downloads, according to the available data) and Abstracts Views on Vision4Press platform.

Data correspond to usage on the plateform after 2015. The current usage metrics is available 48-96 hours after online publication and is updated daily on week days.

Initial download of the metrics may take a while.