Free Access

Fig. D.1

image

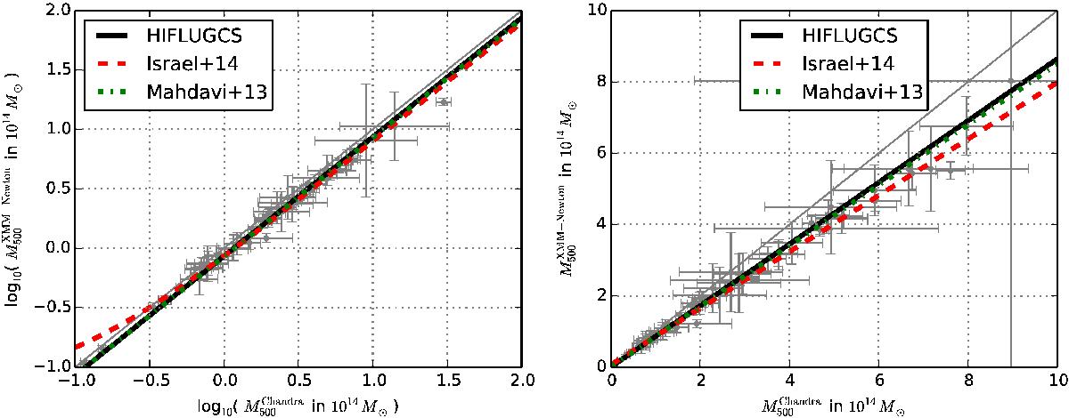
Comparison between Chandra and XMM-Newton in terms of hydrostatic masses in logspace (left) and realspace (right). Gray circles: Hydrostatic masses for Chandra (derived from data) and XMM-Newton (from rescaled Chandra temperature profiles). A best-fit relation (derived in logspace) is shown in black (Eq. (5)), along with the results from Israel et al. (2014b; red dashed line) and Mahdavi et al. (2013; green dotted dashed line).

Current usage metrics show cumulative count of Article Views (full-text article views including HTML views, PDF and ePub downloads, according to the available data) and Abstracts Views on Vision4Press platform.

Data correspond to usage on the plateform after 2015. The current usage metrics is available 48-96 hours after online publication and is updated daily on week days.

Initial download of the metrics may take a while.