Free Access

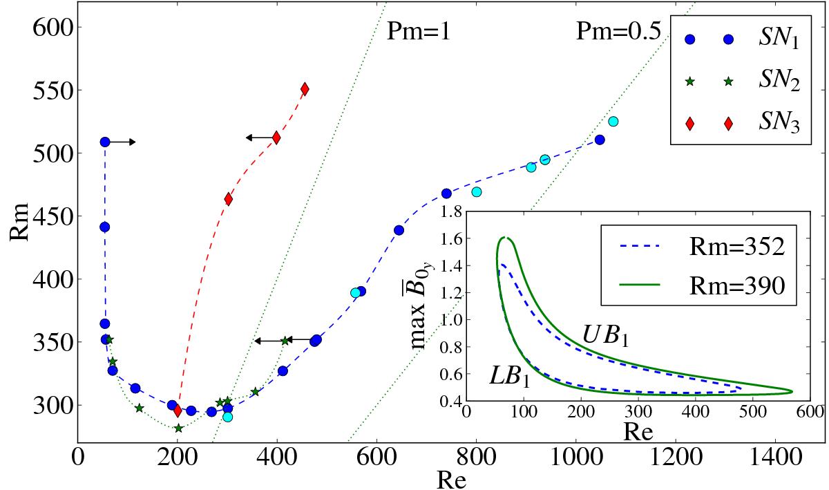
Fig. 3

image

Existence boundaries of three cycle pairs (dashed lines) in the (Re,Rm) plane and critical Rec(Rm), Rmc(Re) of saddle nodes obtained by continuation (symbols). Black arrows indicate the regions in which the cycles exist. For SN1, dark blue/black bullets correspond to low resolution results (24 × 12 × 36), and light blue/grey bullets are for double resolution (48 × 24 × 72). Inset: selected continuation curves of SN1 at fixed Rm.

Current usage metrics show cumulative count of Article Views (full-text article views including HTML views, PDF and ePub downloads, according to the available data) and Abstracts Views on Vision4Press platform.

Data correspond to usage on the plateform after 2015. The current usage metrics is available 48-96 hours after online publication and is updated daily on week days.

Initial download of the metrics may take a while.