Free Access

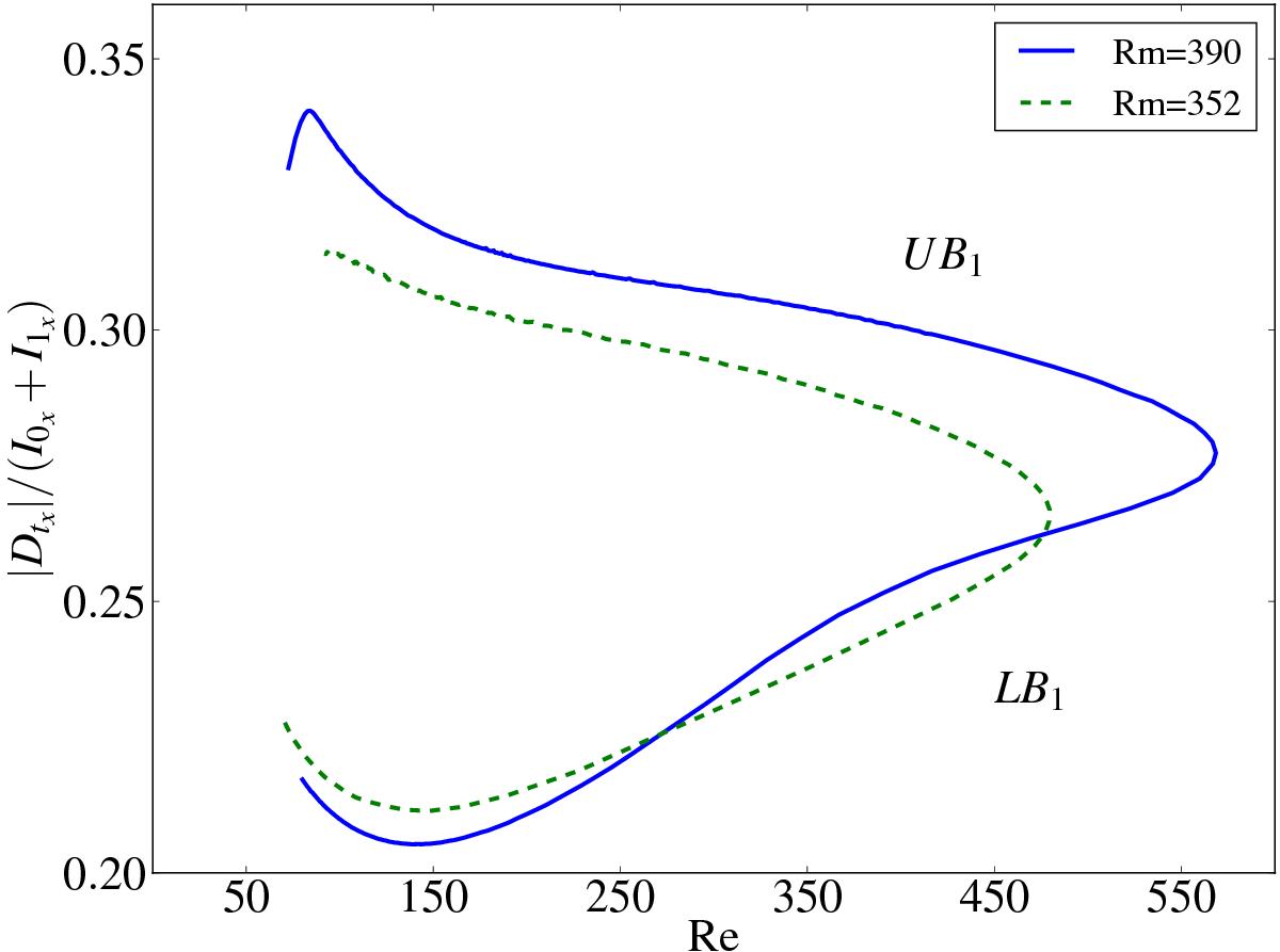
Fig. 5

image

Ratio between nonlinear dissipation Dtx and injected energy I0x + I1x for LB1 and UB1 and two different Rm.

Current usage metrics show cumulative count of Article Views (full-text article views including HTML views, PDF and ePub downloads, according to the available data) and Abstracts Views on Vision4Press platform.

Data correspond to usage on the plateform after 2015. The current usage metrics is available 48-96 hours after online publication and is updated daily on week days.

Initial download of the metrics may take a while.