Free Access

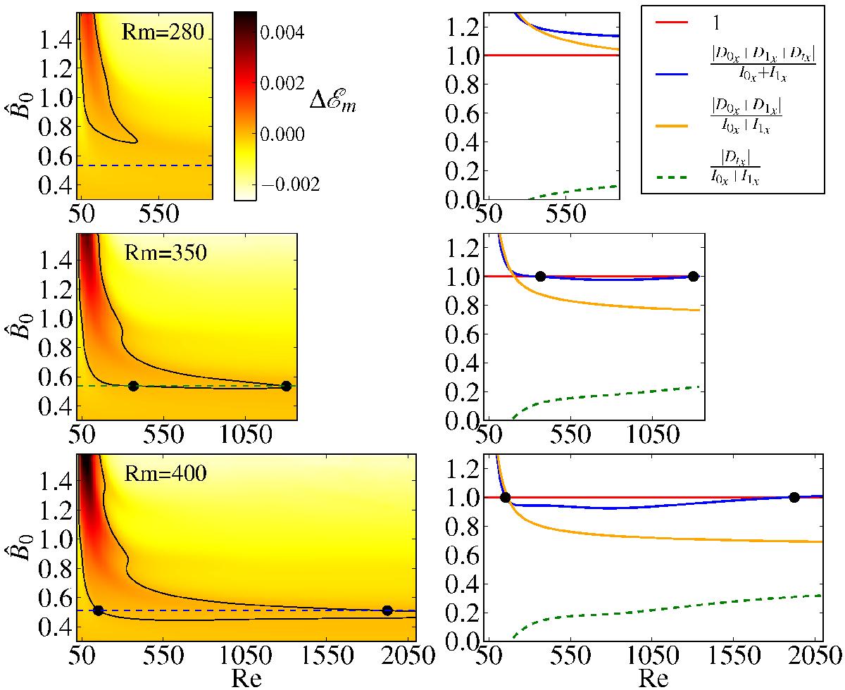
Fig. 6

image

Energy budget of simulations integrated over St = Ly/Lx for three values of Rm. Left: net energy gain Δℰm as a function of Re and . Δℰm = 0 isolines are shown in black, bullets mark the points Δℰm = 0 for . Right: normalized injection and dissipation terms in Eq. (12), as a function of Re, for the same .

Current usage metrics show cumulative count of Article Views (full-text article views including HTML views, PDF and ePub downloads, according to the available data) and Abstracts Views on Vision4Press platform.

Data correspond to usage on the plateform after 2015. The current usage metrics is available 48-96 hours after online publication and is updated daily on week days.

Initial download of the metrics may take a while.