Free Access

Fig. 10

image

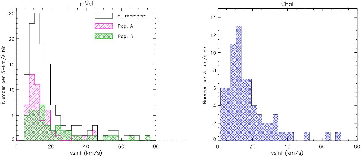
Left panel: distribution of vsini for the members of γ Vel (empty histogram) showing a main peak centered at about 10 km s-1 with a tail towards faster rotators. The two kinematic subsamples A and B identified by Jeffries et al. (2014) display slightly different distributions (hatched and filled histograms), with a higher frequency of faster rotators for Population B. Right panel: distribution of vsini for the members of Cha I, peaked at about 10 km s-1.

This figure is made of several images, please see below:

Current usage metrics show cumulative count of Article Views (full-text article views including HTML views, PDF and ePub downloads, according to the available data) and Abstracts Views on Vision4Press platform.

Data correspond to usage on the plateform after 2015. The current usage metrics is available 48-96 hours after online publication and is updated daily on week days.

Initial download of the metrics may take a while.