Free Access

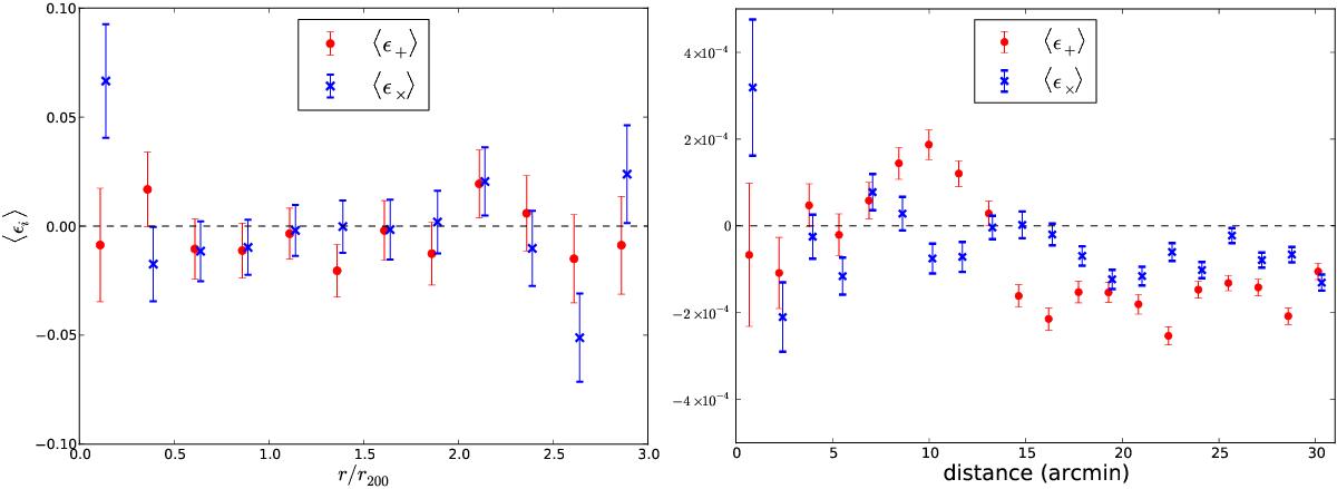
Fig. 7

image

Alignment signal from control samples measured with KSB, with data points shifted horizontally for clarity. Left: 3666 foreground galaxies in the direction of 73 clusters as a function of distance from the cluster, in units of r200. Right: stars in the magnitude range 17 <mr< 22 as a function of angular distance from the center of each cluster. Typically, r200 ~ 10′. Note the different vertical scales in each plot.

This figure is made of several images, please see below:

Current usage metrics show cumulative count of Article Views (full-text article views including HTML views, PDF and ePub downloads, according to the available data) and Abstracts Views on Vision4Press platform.

Data correspond to usage on the plateform after 2015. The current usage metrics is available 48-96 hours after online publication and is updated daily on week days.

Initial download of the metrics may take a while.