Free Access

This article has an erratum: [https://doi.org/10.1051/0004-6361/201424568e]


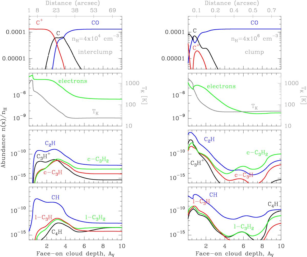
Fig. 17

image

Constant density, photochemical models as a function of cloud visual extinction (AV) for χ = 2 × 104. Left: nH = 4 × 104 cm-3 characteristic of a moderate density interclump medium; right: nH = 4 × 106 cm-3 characteristic of higher density clumps. We note the different spatial scales, thermal profile, and molecular abundance and ionisation fraction gradients implied by the two models.

Current usage metrics show cumulative count of Article Views (full-text article views including HTML views, PDF and ePub downloads, according to the available data) and Abstracts Views on Vision4Press platform.

Data correspond to usage on the plateform after 2015. The current usage metrics is available 48-96 hours after online publication and is updated daily on week days.

Initial download of the metrics may take a while.