Free Access

This article has an erratum: [https://doi.org/10.1051/0004-6361/201424568e]


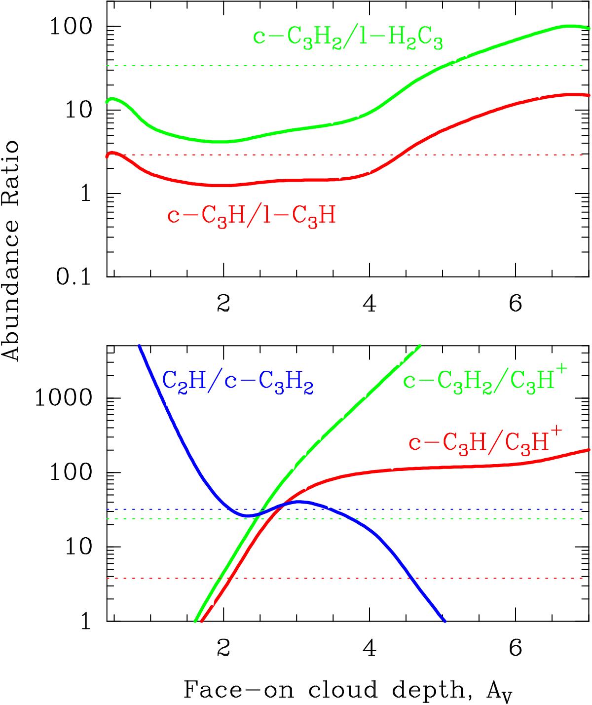
Fig. 19

image

Reference isobaric photochemical model for the Orion Bar with P = 108 K cm-3 and χ = 2 × 104 showing selected hydrocarbon abundance ratios as a function of AV. The dashed horizontal lines show the ratios derived from the line survey.

Current usage metrics show cumulative count of Article Views (full-text article views including HTML views, PDF and ePub downloads, according to the available data) and Abstracts Views on Vision4Press platform.

Data correspond to usage on the plateform after 2015. The current usage metrics is available 48-96 hours after online publication and is updated daily on week days.

Initial download of the metrics may take a while.