Free Access

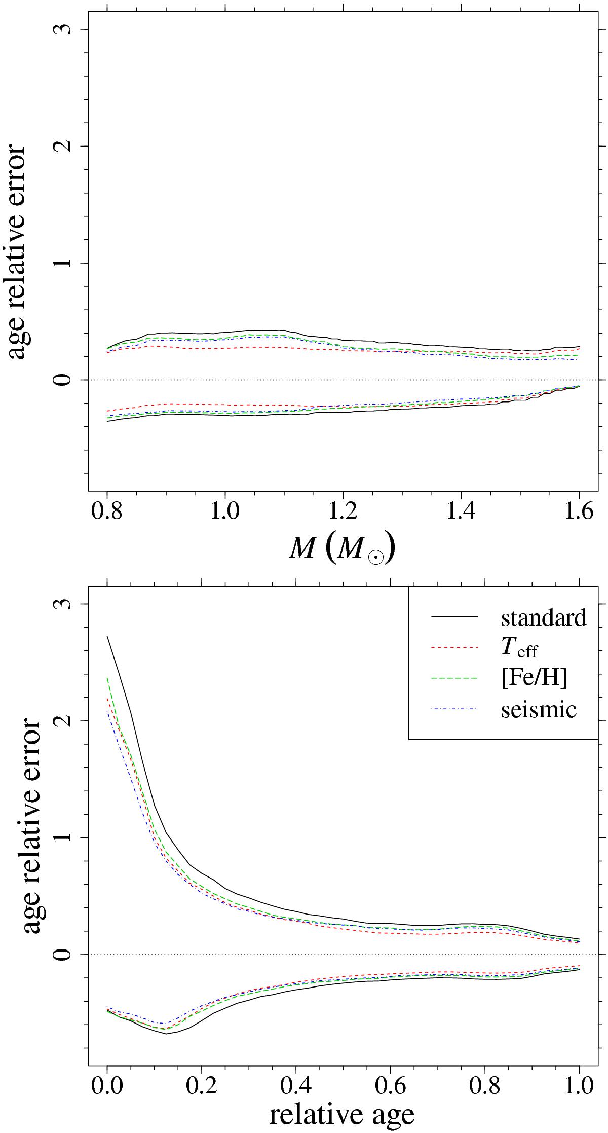
Fig. 3

image

Envelope of age-estimate relative errors as a function of mass and relative age of the star for different assumptions on the observational errors. The solid line corresponds to the standard case; the dashed one to σ(Teff) = 50 K; the dotted one to σ( [ Fe/H ] ) = 0.05 dex; the dot-dashed one to σν) = 1%, σ(νmax) = 2.5%.

Current usage metrics show cumulative count of Article Views (full-text article views including HTML views, PDF and ePub downloads, according to the available data) and Abstracts Views on Vision4Press platform.

Data correspond to usage on the plateform after 2015. The current usage metrics is available 48-96 hours after online publication and is updated daily on week days.

Initial download of the metrics may take a while.