Free Access

Fig. 7

image

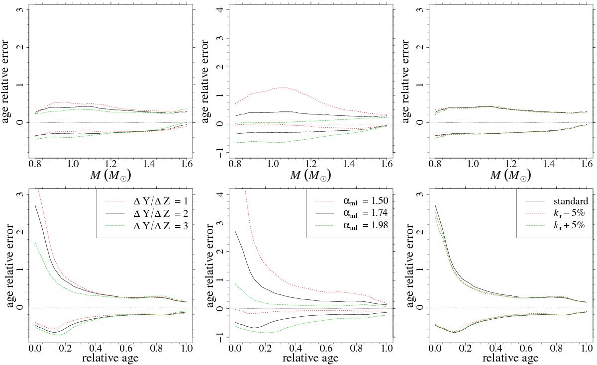
Left column: envelopes of age estimate relative errors due to sampling from synthetic grids with different values of ΔYZ. Ages are estimated on the standard grid with ΔYZ = 2. Middle column: same as the left column, but for sampling from synthetic grids with different values of the mixing-length parameter αml. Ages are estimated on the standard grid with αml = 1.74. Right column: same as the left column, but for sampling from synthetic grids with different values of radiative opacity kr. Ages are estimated on the standard grid.

This figure is made of several images, please see below:

Current usage metrics show cumulative count of Article Views (full-text article views including HTML views, PDF and ePub downloads, according to the available data) and Abstracts Views on Vision4Press platform.

Data correspond to usage on the plateform after 2015. The current usage metrics is available 48-96 hours after online publication and is updated daily on week days.

Initial download of the metrics may take a while.